| ²é¿´: 2163 | »Ø¸´: 7 | |||
bloomiгæ (³õÈëÎÄ̳)
|
[ÇóÖú]
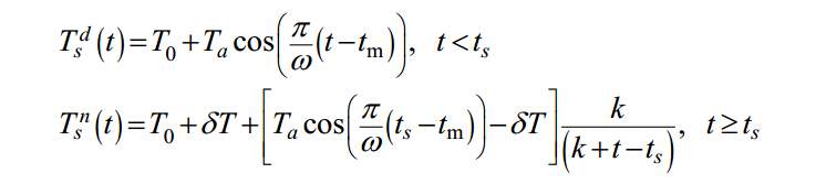
matlab·ÇÏßÐԷֶη½³ÌÄâºÏ ¼±~лл~ ÒÑÓÐ2È˲ÎÓë
|
||
|
|
|||
ÔÂÖ»À¶Ö÷¹ÜÇø³¤ (Ö°Òµ×÷¼Ò)
|
|||
![]() |
|||
|
2Â¥2014-10-13 09:56:31
|
|
||
bloomiгæ (³õÈëÎÄ̳)
|
|||
|
3Â¥2014-10-13 12:02:24
|
|
||
´÷¸Ö¿øµÄÖíͷľ³æ (ÖªÃû×÷¼Ò)
|
¡¾´ð°¸¡¿Ó¦Öú»ØÌû
¡ï ¡ï ¡ï ¡ï ¡ï ¡ï ¡ï ¡ï ¡ï ¡ï
¸Ðл²ÎÓ룬ӦÖúÖ¸Êý +1 bloomi: ½ð±Ò+10, ¡ï¡ï¡ï¡ï¡ï×î¼Ñ´ð°¸ 2014-10-15 10:09:56
|
||
|
4Â¥2014-10-14 15:48:59
|
|
||
´÷¸Ö¿øµÄÖíͷľ³æ (ÖªÃû×÷¼Ò)
|
|||
|
5Â¥2014-10-14 15:50:21
|
|
||
bloomiгæ (³õÈëÎÄ̳)
|
|||
|
6Â¥2014-10-15 10:09:39
|
|
||
bloomiгæ (³õÈëÎÄ̳)
|
|||
|
7Â¥2014-10-28 15:53:28
|
|
||
´÷¸Ö¿øµÄÖíͷľ³æ (ÖªÃû×÷¼Ò)
|
|
||
|
8Â¥2014-10-28 17:39:50
|
|













»Ø¸´´ËÂ¥
