| ²é¿´: 808 | »Ø¸´: 2 | ||
jinjt11Òø³æ (СÓÐÃûÆø)
|
[ÇóÖú]
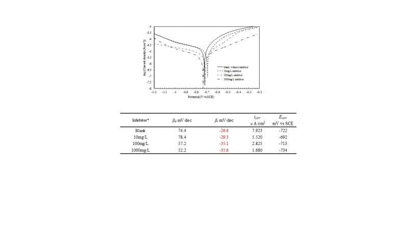
¸¯Ê´µç»¯Ñ§¼«»¯ÇúÏß·ÖÎöÇóÖú¡£ ÒÑÓÐ1È˲ÎÓë
|
|
|
|
||
ustbjackгæ (³õÈëÎÄ̳)
|
¡¾´ð°¸¡¿Ó¦Öú»ØÌû
¡ï ¡ï ¡ï ¡ï ¡ï
¸Ðл²ÎÓ룬ӦÖúÖ¸Êý +1 jinjt11: ½ð±Ò+5, ¡ïÓаïÖú 2014-10-08 06:14:51
|
|
|
2Â¥2014-10-08 02:01:37
|
|
|
ustbjackгæ (³õÈëÎÄ̳)
|
||
|
3Â¥2014-10-08 02:05:53
|
|














»Ø¸´´ËÂ¥