| ²é¿´: 3189 | »Ø¸´: 9 | ||
hriderгæ (³õÈëÎÄ̳)
|
[ÇóÖú]
ÇóÖú£¬·ÖÎöTafel¼«»¯ÇúÏß ÒÑÓÐ4È˲ÎÓë
|
|
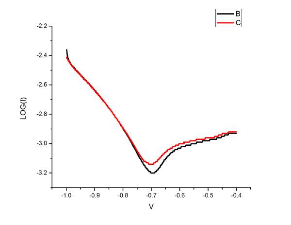
Èçͼ£¬BÏßÊÇÎÞÍ¿²ãµÄ¼«»¯ÇúÏߣ¬CÏßÊÇÅçÍ¿ÉÏÍ¿ÁÏÖ®ºóµÄ¼«»¯ÇúÏß¡£ÎÒ¸öÈ˾õµÃÕâÍ¿ÁÏ»ù±¾Ã»·¢Éú×÷Óã¬×Ô¸¯Ê´µçλ¼¸ºõû±ä»¯£¬¸¯Ê´µçÁ÷ÃܶȴÖÂÔ¿´À´Ã²ËÆ»¹Ôö´óÁË£¿ÕâÊÇÎªÊ²Ã´ÄØ£¿Çë²»Áߴͽ̡£ Graph1.jpg |
» ²ÂÄãϲ»¶
¹ØÓÚ̼Á¿×ӵ㿹¾úµÄÑо¿
ÒѾÓÐ15È˻ظ´
ÄÏ´ó»¯Ñ§µ÷¼Á
ÒѾÓÐ11È˻ظ´
ÎïÀí»¯Ñ§ÂÛÎÄÈóÉ«/·ÒëÔõôÊÕ·Ñ?
ÒѾÓÐ235È˻ظ´
ÁòËáÄÆÈÜҺŨ¶ÈÓëÃܶÈÇúÏß
ÒѾÓÐ0È˻ظ´
0703µ÷¼Á
ÒѾÓÐ2È˻ظ´
1
ÒѾÓÐ20È˻ظ´
0703 µ÷¼Á
ÒѾÓÐ5È˻ظ´
ÕÐÊÕ
ÒѾÓÐ0È˻ظ´
Î÷ÄÏij211ÕÐ27½ì²©Ê¿
ÒѾÓÐ24È˻ظ´
´óÁ¬¹¤Òµ½ÜÇà/³¤½ÍŶÓ-ÉúÎïÖʲÄÁÏ-´¢ÄÜµç³Ø·½ÏòÕÐÊÕ2026¼¶²©Ê¿Éú
ÒѾÓÐ0È˻ظ´
» ±¾Ö÷ÌâÏà¹Ø¼ÛÖµÌùÍÆ¼ö£¬¶ÔÄúͬÑùÓаïÖú:
ÈçºÎÇóͼÖÐÇúÏßµÄTafelбÂʺ͸¯Ê´µçÁ÷ÃܶÈ
ÒѾÓÐ18È˻ظ´
µç»¯Ñ§¼«»¯ÇúÏßͼ£¬·ÖÎöÇóÖú¡£¡£¡£¡£
ÒѾÓÐ16È˻ظ´
Çë½Ì¸ßÊÖÈçºÎ·ÖÎöÕâһϵÁм«»¯ÇúÏß
ÒѾÓÐ4È˻ظ´
tafelÇúÏß·ÖÎö
ÒѾÓÐ14È˻ظ´
ÎÈ̬¼«»¯ÇúÏßµÄÒÉ»ó
ÒѾÓÐ13È˻ظ´
Ææ¹ÖµÄ¸¯Ê´¼«»¯ÇúÏߣ¬ÇóÖú½âÊÍ
ÒѾÓÐ8È˻ظ´
ÈçºÎ´ÓÇúÏßÉÏÈ·¶¨TafelбÂÊ£¿
ÒѾÓÐ15È˻ظ´
TafelÇúÏß,ÔõôÇóµÃ¸¯Ê´µçλºÍ¸¯Ê´µçÁ÷
ÒѾÓÐ10È˻ظ´
Çó¸ßÊÖ°ïæ·ÖÎöÒ»ÏÂÂÁºÏ½ðµÄ¶¯µçλ¼«»¯ÇúÏß
ÒѾÓÐ17È˻ظ´
°ïæ·ÖÎöϼ«»¯ÇúÏß
ÒѾÓÐ10È˻ظ´
M2273 TafelÇúÏß¡¢ÏßÐÔ¼«»¯¡¢¶¯¼«»¯ÈýÕßµÄÇø±ð
ÒѾÓÐ7È˻ظ´
µÃµ½ÁËÒõ¼«¼«»¯ÇúÏߣ¬ÈçºÎÇóÎöÇâµç루¿ªÊ¼Îö³öÇâÆøµÄµç룩
ÒѾÓÐ6È˻ظ´
ÇóÖúTafel¼«»¯ÇúÏß·ÖÎö
ÒѾÓÐ5È˻ظ´
ÇëÎÊÈçºÎÓÉTafel¼«»¯ÇúÏßÇó×Ô¸¯Ê´µçÁ÷Ãܶȣ¿
ÒѾÓÐ20È˻ظ´
°ïæ·ÖÎöÒ»ÏÂÕâ¸ötafelÇúÏߣ¬¼±~~~лл£¡
ÒѾÓÐ10È˻ظ´
¡¾ÇóÖú¡¿ÉϺ£³½»ª²úµÄCHIÈí¼þ·ÖÎö³öÀ´µÄtafelÇúÏßбÂʵĵ¥Î»ÊÇʲô£¿
ÒѾÓÐ13È˻ظ´
¡¾ÇóÖú¡¿ÏëÎʸ÷λ¼«»¯ÇúÏßµÄÎÊÌ⣬лл
ÒѾÓÐ17È˻ظ´
alsjiao
ÖÁ×ðľ³æ (ÖøÃûдÊÖ)
- Ó¦Öú: 55 (³õÖÐÉú)
- ½ð±Ò: 11831.7
- É¢½ð: 305
- ºì»¨: 5
- Ìû×Ó: 1494
- ÔÚÏß: 158.1Сʱ
- ³æºÅ: 577464
- ×¢²á: 2008-06-23
- ÐÔ±ð: GG
- רҵ: µç»¯Ñ§

2Â¥2013-12-12 08:53:28
corrtest
ľ³æ (ÖøÃûдÊÖ)
- Ó¦Öú: 486 (˶ʿ)
- ¹ó±ö: 0.006
- ½ð±Ò: 2623.6
- ºì»¨: 48
- Ìû×Ó: 1360
- ÔÚÏß: 776.8Сʱ
- ³æºÅ: 687386
- ×¢²á: 2009-01-04
- רҵ: µç»¯Ñ§
3Â¥2013-12-12 10:55:07
hrider
гæ (³õÈëÎÄ̳)
- Ó¦Öú: 0 (Ó×¶ùÔ°)
- ½ð±Ò: 526.5
- ºì»¨: 1
- Ìû×Ó: 43
- ÔÚÏß: 10.8Сʱ
- ³æºÅ: 2574591
- ×¢²á: 2013-07-31
- רҵ: ÆäËûÎÞ»ú·Ç½ðÊô²ÄÁÏ
4Â¥2013-12-12 11:01:22
corrtest
ľ³æ (ÖøÃûдÊÖ)
- Ó¦Öú: 486 (˶ʿ)
- ¹ó±ö: 0.006
- ½ð±Ò: 2623.6
- ºì»¨: 48
- Ìû×Ó: 1360
- ÔÚÏß: 776.8Сʱ
- ³æºÅ: 687386
- ×¢²á: 2009-01-04
- רҵ: µç»¯Ñ§
5Â¥2013-12-12 11:39:37
´ß»¯Ð¡Íõ×Ócp
½ð³æ (СÓÐÃûÆø)
- Ó¦Öú: 16 (СѧÉú)
- ½ð±Ò: 602.9
- É¢½ð: 18
- ºì»¨: 1
- Ìû×Ó: 145
- ÔÚÏß: 88.2Сʱ
- ³æºÅ: 2743593
- ×¢²á: 2013-10-22
- ÐÔ±ð: GG
- רҵ: µç»¯Ñ§

6Â¥2013-12-12 12:07:17
hrider
гæ (³õÈëÎÄ̳)
- Ó¦Öú: 0 (Ó×¶ùÔ°)
- ½ð±Ò: 526.5
- ºì»¨: 1
- Ìû×Ó: 43
- ÔÚÏß: 10.8Сʱ
- ³æºÅ: 2574591
- ×¢²á: 2013-07-31
- רҵ: ÆäËûÎÞ»ú·Ç½ðÊô²ÄÁÏ
7Â¥2013-12-12 15:07:34
hrider
гæ (³õÈëÎÄ̳)
- Ó¦Öú: 0 (Ó×¶ùÔ°)
- ½ð±Ò: 526.5
- ºì»¨: 1
- Ìû×Ó: 43
- ÔÚÏß: 10.8Сʱ
- ³æºÅ: 2574591
- ×¢²á: 2013-07-31
- רҵ: ÆäËûÎÞ»ú·Ç½ðÊô²ÄÁÏ
8Â¥2013-12-12 15:08:40
´ß»¯Ð¡Íõ×Ócp
½ð³æ (СÓÐÃûÆø)
- Ó¦Öú: 16 (СѧÉú)
- ½ð±Ò: 602.9
- É¢½ð: 18
- ºì»¨: 1
- Ìû×Ó: 145
- ÔÚÏß: 88.2Сʱ
- ³æºÅ: 2743593
- ×¢²á: 2013-10-22
- ÐÔ±ð: GG
- רҵ: µç»¯Ñ§

9Â¥2013-12-12 20:33:10
ºúç÷
Ìú¸Ëľ³æ (ÖøÃûдÊÖ)
- ECEPI: 3
- Ó¦Öú: 830 (²©ºó)
- ½ð±Ò: 10236.1
- É¢½ð: 500
- ºì»¨: 68
- Ìû×Ó: 2977
- ÔÚÏß: 881.6Сʱ
- ³æºÅ: 1346956
- ×¢²á: 2011-07-15
- ÐÔ±ð: GG
- רҵ: ÓлúºÏ³É

10Â¥2013-12-14 09:45:52













»Ø¸´´ËÂ¥
40