| ²é¿´: 2120 | »Ø¸´: 8 | ||
С°×»¢½ð³æ (СÓÐÃûÆø)
|
[ÇóÖú]
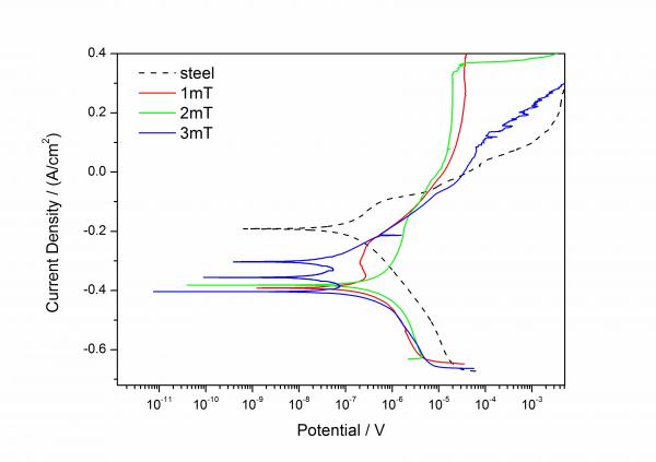
Ææ¹ÖµÄ¸¯Ê´¼«»¯ÇúÏߣ¬ÇóÖú½âÊÍ ÒÑÓÐ1È˲ÎÓë
|
ÓмÛÖµµÄÎÊÌâ |
» ²ÂÄãϲ»¶
ºþÄÏũҵ´óѧÄÜÔ´²ÄÁÏ´´ÐÂÍŶÓÕÐÊÕ2025»¯Ñ§×¨ÒµÑо¿Éú£¨Ñ§Ë¶£©µ÷¼Á
ÒѾÓÐ0È˻ظ´
2026ÄêÎ÷»ª´óѧ²ÄÁÏѧԺ-²ÄÁϽü¾»³ÉÐÎÓë±íÃæ¼¼ÊõÑо¿ÍŶÓ-ÕÐÊÕµ÷¼ÁÑо¿Éú
ÒѾÓÐ9È˻ظ´
ÎïÀí»¯Ñ§ÂÛÎÄÈóÉ«/·ÒëÔõôÊÕ·Ñ?
ÒѾÓÐ271È˻ظ´
µ÷¼ÁÐÅÏ¢
ÒѾÓÐ0È˻ظ´
»ªÄÏÀí¹¤0703»¯Ñ§£¬×Ü·Ö336Çóµ÷¼Á
ÒѾÓÐ1È˻ظ´
ºÓ±±Å©´óÉúÎïÓëҽҩרҵÕÐÊÕµ÷¼Á£¬Ãû¶î³ä×ã
ÒѾÓÐ0È˻ظ´
Æë³¹¤Òµ´óѧ ¹ú¼ÒÖØµãʵÑéÊÒ-ÐÂÄÜÔ´¡¢ï®Àë×Óµç³Ø¡¢²ÄÁÏ¡¢»¯Ñ§·½Ïò
ÒѾÓÐ0È˻ظ´
һ־Ըǰ4λ´úÂë0703¾ù¿É±¨Ãû-ºÓ±±´óѧ·ÖÎö»¯Ñ§×¨ÒµÕÐÊÕµ÷¼Á¿¼Éú
ÒѾÓÐ57È˻ظ´
¡ï¡ï±¬¡ï¡ï0860ÉúÎïÓëÒ½Ò©µ÷¼Á¿¼Éú¿´¹ýÀ´£¬ºÓ±±´óѧ»¯Ñ§Óë²ÄÁÏ¿ÆÑ§Ñ§Ôº
ÒѾÓÐ64È˻ظ´
½ÜÇà/³¤½ÍŶÓÕÐÊÕµ÷¼Á
ÒѾÓÐ0È˻ظ´
ÖÐÄÏÁÖÒµ¿Æ¼¼´óѧÂÞÓ·æ½ÌÊÚÍŶÓ2026ÄêÕÐÊÕ²ÄÁÏÀàµ÷¼ÁÑо¿Éú
ÒѾÓÐ0È˻ظ´
» ±¾Ö÷ÌâÏà¹Ø¼ÛÖµÌùÍÆ¼ö£¬¶ÔÄúͬÑùÓаïÖú:
¹ØÓÚ¼«»¯ÇúÏߺ͸¯Ê´µçÁ÷ÃܶÈ
ÒѾÓÐ20È˻ظ´
¼«»¯ÇúÏߣ¬Ä͸¯Ê´ÐÔÄÜ
ÒѾÓÐ11È˻ظ´
[ÇóÖú]¼«»¯ÇúÏ߸ºµÄ×Ô¸¯Ê´µçλºÍÕýµÄ×Ô¸¯Ê´µçλÓÐÊ²Ã´Çø±ð
ÒѾÓÐ11È˻ظ´
¸¯Ê´¼«»¯ÇúÏß·ÖÎöÇóÖú£¬Ð»Ð»
ÒѾÓÐ6È˻ظ´
ÂÛÎÄÐÞ¸ÄÇóÖú£¨¸¯Ê´·½Ãæ-¼«»¯ÇúÏߣ©
ÒѾÓÐ5È˻ظ´
¸¯Ê´¼«»¯ÇúÏß²»¹ý0µãÊÇÔõô»ØÊ£¿
ÒѾÓÐ6È˻ظ´
ÇëÎÊÈçºÎÓÉTafel¼«»¯ÇúÏßÇó×Ô¸¯Ê´µçÁ÷Ãܶȣ¿
ÒѾÓÐ20È˻ظ´
¡¾ÇóÖú¡¿ÈçºÎ¸ù¾ÝÑô¼«¼«»¯ÇúÏßÅжϽðÊôµÄ¸¯Ê´ÐÔÄÜ
ÒѾÓÐ6È˻ظ´
¡¾ÇóÖú¡¿Á½Ìõ¼«»¯ÇúÏߣ¬Ä½ÃæËµÃ÷30±È5µÄÄ͸¯Ê´ÐÔ¸üºÃ
ÒѾÓÐ18È˻ظ´
¡¾ÇóÖú¡¿£¨µç»¯Ñ§¸¯Ê´£© ¼«»¯ÇúÏßÊý¾ÝÔõô´¦Àí? Çâ´ó¼Ò°ï°ïæ
ÒѾÓÐ5È˻ظ´
¡¾ÇóÖú¡¿²âTafel¼«»¯ÇúÏߣ¬ÊÇÖ±½Ó´Ó¸ºÉ¨µ½Õý£¬»¹ÊÇ´Ó¸¯Ê´µçλ·Ö±ðÏòÁ½¼«É¨?
ÒѾÓÐ16È˻ظ´
¡¾ÇóÖú¡¿CHI660BÄܲ»ÄÜ×Ô¶¯Ç󼫻¯ÇúÏߵĸ¯Ê´µçÁ÷ºÍ¸¯Ê´µçλ£¿
ÒѾÓÐ10È˻ظ´
¡¾ÇóÖú¡¿Çë½Ì¸÷λ´óÏÀ¸¯Ê´²âÊÔÖеÄÑ»··ü°²Ó뼫»¯ÇúÏßµÄÇø±ð£¿
ÒѾÓÐ7È˻ظ´
¡¾ÇóÖú¡¿ÓÐËÖªµÀ×ö¸¯Ê´·½ÃæµÄ¼«»¯ÇúÏߣ¨Ëþ·Æ¶ûÇúÏߣ©£¬ÔõôÇóËûµÄ×Ô¸¯Ê´µçÁ÷
ÒѾÓÐ18È˻ظ´
¡¾ÇóÖú¡¿¼«»¯ÇúÏßÖеÄÕâô¶àµçÁ÷·åÊÇÔõô»ØÊ£¿
ÒѾÓÐ23È˻ظ´
¡¾ÇóÖú¡¿chi660Äܲ»ÄÜ×Ô¶¯Çó³ö¼«»¯ÇúÏߵĸ¯Ê´µçÁ÷ºÍ¸¯Ê´µçλ£¿ÔõôÇóÄØ
ÒѾÓÐ21È˻ظ´
tommy7749
ÖÁ×ðľ³æ (Ö°Òµ×÷¼Ò)
- ECEPI: 1
- Ó¦Öú: 27 (СѧÉú)
- ½ð±Ò: 30414.9
- ºì»¨: 10
- Ìû×Ó: 3094
- ÔÚÏß: 225.3Сʱ
- ³æºÅ: 513390
- ×¢²á: 2008-02-27
- רҵ: µç»¯Ñ§
¡¾´ð°¸¡¿Ó¦Öú»ØÌû
¡ï ¡ï ¡ï ¡ï ¡ï ¡ï ¡ï ¡ï ¡ï ¡ï
¸Ðл²ÎÓ룬ӦÖúÖ¸Êý +1
С°×»¢: ½ð±Ò+10, ¡ïÓаïÖú 2012-09-27 09:52:19
¸Ðл²ÎÓ룬ӦÖúÖ¸Êý +1
С°×»¢: ½ð±Ò+10, ¡ïÓаïÖú 2012-09-27 09:52:19
|
1.ºÜÃ÷ÏÔ£¬Á½¸öͼµÄ×ø±ê¶¼±ê´íÁË£¡ 2.¸ø³öµÄÐÅÏ¢·Ç³£²»È«£¬ÄãÎʵÄÎÊÌâ²»ÄÜÈ«»Ø´ð¡£8mTÊǶۻ¯¡£ 3.½ðÊôµÄÄ͸¯Ê´ÐÔ£¬´Ó¼«»¯ÇúÏßÉÏÒ»°ãÊÇ¿´¸¯Ê´µçÁ÷£¬µçÁ÷СµÄÄ͸¯Ê´ÐÔÄܺᣠ4.¸öÈ˸оõÄãµÄʵÑéûÓнøÐÐÖØ¸´£¬ÎÒ¶ÔijЩÇúÏßµÄÐÎ×´ºÜ»³ÒÉ£¬½¨ÒéÄã¿´¿´ÊµÑéµÄÖØ¸´ÐÔÔõôÑù¡£ÊµÑé֮ǰÏÈÕÒЩµç»¯Ñ§ÊµÑéµÄ½Ì²Ä¿´¿´£¬²»½ö¿´Ôõô×ö£¬»¹Òª¿´¿´Ò»Ð©»ù±¾ÔÀí£¬Ã÷°×ΪʲôÕâÑù×ö¡£ |
2Â¥2012-09-27 09:12:28
С°×»¢
½ð³æ (СÓÐÃûÆø)
- Ó¦Öú: 0 (Ó×¶ùÔ°)
- ½ð±Ò: 1091.9
- É¢½ð: 25
- ºì»¨: 1
- Ìû×Ó: 241
- ÔÚÏß: 44.6Сʱ
- ³æºÅ: 801474
- ×¢²á: 2009-06-30
- רҵ: ½ðÊô²ÄÁϱíÃæ¿ÆÑ§Ó빤³Ì
3Â¥2012-09-27 09:58:01
tommy7749
ÖÁ×ðľ³æ (Ö°Òµ×÷¼Ò)
- ECEPI: 1
- Ó¦Öú: 27 (СѧÉú)
- ½ð±Ò: 30414.9
- ºì»¨: 10
- Ìû×Ó: 3094
- ÔÚÏß: 225.3Сʱ
- ³æºÅ: 513390
- ×¢²á: 2008-02-27
- רҵ: µç»¯Ñ§
4Â¥2012-09-27 10:12:36
goshen
Ìú¸Ëľ³æ (Ö°Òµ×÷¼Ò)
- Ó¦Öú: 88 (³õÖÐÉú)
- ½ð±Ò: 14778
- É¢½ð: 51
- ºì»¨: 25
- ɳ·¢: 1
- Ìû×Ó: 3351
- ÔÚÏß: 1642Сʱ
- ³æºÅ: 119729
- ×¢²á: 2005-11-28
- ÐÔ±ð: GG
- רҵ: ½ðÊô²ÄÁϵÄÖÆ±¸¿ÆÑ§Óë¿çѧ

5Â¥2012-10-20 17:26:18
justinluo
Òø³æ (СÓÐÃûÆø)
- Ó¦Öú: 3 (Ó×¶ùÔ°)
- ½ð±Ò: 127.5
- É¢½ð: 39
- ºì»¨: 1
- Ìû×Ó: 284
- ÔÚÏß: 239.4Сʱ
- ³æºÅ: 1496063
- ×¢²á: 2011-11-17
- רҵ: ÀíÂۺͼÆË㻯ѧ
6Â¥2012-10-21 17:03:24
guidazht
ľ³æ (ÕýʽдÊÖ)
- Ó¦Öú: 106 (¸ßÖÐÉú)
- ¹ó±ö: 0.153
- ½ð±Ò: 179.4
- É¢½ð: 1846
- ºì»¨: 5
- Ìû×Ó: 828
- ÔÚÏß: 266.4Сʱ
- ³æºÅ: 1094538
- ×¢²á: 2010-09-09
- ÐÔ±ð: GG
- רҵ: ½ðÊô²ÄÁϱíÃæ¿ÆÑ§Ó빤³Ì
7Â¥2012-10-31 01:01:13
8Â¥2013-01-31 14:59:10
goshen
Ìú¸Ëľ³æ (Ö°Òµ×÷¼Ò)
- Ó¦Öú: 88 (³õÖÐÉú)
- ½ð±Ò: 14778
- É¢½ð: 51
- ºì»¨: 25
- ɳ·¢: 1
- Ìû×Ó: 3351
- ÔÚÏß: 1642Сʱ
- ³æºÅ: 119729
- ×¢²á: 2005-11-28
- ÐÔ±ð: GG
- רҵ: ½ðÊô²ÄÁϵÄÖÆ±¸¿ÆÑ§Óë¿çѧ

9Â¥2014-01-11 09:20:06















»Ø¸´´ËÂ¥
²»ºÃÒâ˼£¬×ø±ê±ê´íÁË~