| ²é¿´: 2780 | »Ø¸´: 18 | ||||
bfhydlͳæ (³õÈëÎÄ̳)
|
[½»Á÷]
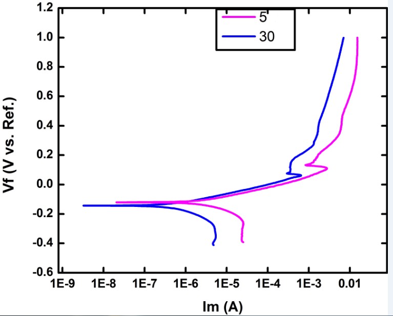
¡¾ÇóÖú¡¿Á½Ìõ¼«»¯ÇúÏߣ¬Ä½ÃæËµÃ÷30±È5µÄÄ͸¯Ê´ÐÔ¸üºÃ ÒÑÓÐ10È˲ÎÓë
|
|||
|
¸÷λţ³æºÃ£¬ ±¾È˸¯Ê´·À»¤·½ÃæµÄÐÂÊÖ£¬×Ô¼ºµÄÑùÆ·×öÁËÁ½¸ö¼«»¯ÇúÏßÈ»ºó±È½ÏËüÃǵÄÄ͸¯Ê´ÐÔ£¬ÄÄλ¸ßÈËÄܹ»ËµËµÄÄЩ·½ÃæËµÃ÷30±È5Ä͸¯Ê´ÐÔ¸üºÃ [ Last edited by bfhydl on 2011-4-11 at 22:22 ] |
» ÊÕ¼±¾ÌûµÄÌÔÌûר¼ÍƼö
×Ô×é×° |
» ²ÂÄãϲ»¶
¼ÃÄÏ´óѧ ²ÄÁÏ¿ÆÑ§Ó빤³Ì Àî½ð¿¿ÎÌâ×é ÕÐÊÕµ÷¼ÁÉú2Ãû£¨2026¼¶£©
ÒѾÓÐ0È˻ظ´
Synthesis of NCo@CNT-NFT Hierarchical Carbon Dendrites.
ÒѾÓÐ0È˻ظ´
·ÖÎö»¯Ñ§ÂÛÎÄÈóÉ«/·ÒëÔõôÊÕ·Ñ?
ÒѾÓÐ218È˻ظ´
AgÄÉÃײÄÁÏ
ÒѾÓÐ0È˻ظ´
³¤´º¹¤³ÌѧԺÊÐÕþ¹¤³Ì·½ÏòÓв¿·Öµ÷¼ÁÃû¶î£¬»¶Ó´ó¼Òµ÷¼Áµ½ÎÒУ
ÒѾÓÐ0È˻ظ´
Õе÷¼Á
ÒѾÓÐ0È˻ظ´
26Äêµç³Ø·½Ïò²©Ê¿ÉêÇë
ÒѾÓÐ2È˻ظ´
Ô˶¯¿µ¸´Çóµ÷¼Á
ÒѾÓÐ0È˻ظ´
³¤´º¹¤³ÌѧԺÊÐÕþ¹¤³Ì·½ÏòÓв¿·Öµ÷¼ÁÃû¶î£¬»¶Ó´ó¼Òµ÷¼Áµ½ÎÒУ
ÒѾÓÐ0È˻ظ´
085500»úеBÇøÇóµ÷¼Á
ÒѾÓÐ19È˻ظ´
ÖÐÔ¹¤Ñ§ÔºÏÖÓвÄÁÏ¿ÆÑ§Ó빤³ÌºÍÄÉÃ׿ÆÑ§Ó빤³ÌѧÊõÐÍ¡¢²ÄÁϹ¤³ÌÑо¿Éúµ÷¼ÁÃû¶î
ÒѾÓÐ0È˻ظ´
» ±¾Ö÷ÌâÏà¹Ø¼ÛÖµÌùÍÆ¼ö£¬¶ÔÄúͬÑùÓаïÖú:
¼¸¸öÊÔÓÃÓÚ»¯Ñ§µÄPPt±³¾°£¬¿ÉÒÔ¿´Ï¡£
ÒѾÓÐ1135È˻ظ´
ÇóÉþ×ÓµÄÇúÏß·½³Ì
ÒѾÓÐ6È˻ظ´
¶ÔÊý¾Ý½øÐÐÇúÏßÄâºÏºóÈçºÎµÃµ½ÄâºÏÎó²î
ÒѾÓÐ30È˻ظ´
¹òÇóÖ¸µã£¬³¬¼¶µçÈÝÆ÷£¬CVÇúÏß²»¶Ô³Æ
ÒѾÓÐ13È˻ظ´
ÎÒÓÃÐÞÊε缫¹Ì¶¨À±¸ù¹ýÑõ»¯Îïø£¬ÔÚÁ×ËỺ³åÈÜÒºÖеÄÑ»··ü°²ÇúÏߣ¬Ñõ»¯·åºÜС?
ÒѾÓÐ9È˻ظ´
ÈçºÎ×ö³öÄâºÏÇúÏßÇóÖµ
ÒѾÓÐ24È˻ظ´
Ææ¹ÖµÄ´ÅÈÈÇúÏß
ÒѾÓÐ10È˻ظ´
Çë½ÌDSC ÇúÏßÎÊÌ⣬ÓÐÁ½¸ö¼âÈñµÄÎüÈȷ壬һ¸ö·ÅÈȷ壬ºË´ÅºÜ¸É¾»£¡
ÒѾÓÐ17È˻ظ´
Çó±ê×¼ÇúÏßÖеÄÎÊÌ⣺
ÒѾÓÐ6È˻ظ´
Ô¤²É¹º¹ú²ú×ÏÍâ·Ö¹â¹â¶È¼Æ £¨¿É²â¶¯Á¦Ñ§ÇúÏߣ©£¬ÇóÍÆ¼ö£¡£¡
ÒѾÓÐ3È˻ظ´
Á½ÆªºÜºÃµÄµç¼«µÄ¼«»¯ºÍ¼«»¯ÇúÏß»ù´¡ÖªÊ¶ÆÕ¼°ÎÄÕ£¨ÇóÖ§³Ö£©
ÒѾÓÐ739È˻ظ´
¼«»¯ÇúÏߣ¬Ä͸¯Ê´ÐÔÄÜ
ÒѾÓÐ11È˻ظ´
µç»¯Ñ§ ¼«»¯ÇúÏß ·ÖÎö£¬ÄÍÊ´ÐÔ£¬
ÒѾÓÐ3È˻ظ´
¡¾ÇóÖú¡¿Ð³æÀ´×ÉѯһÏÂÄÍÊ´±íÕ÷Öеļ«»¯ÇúÏß²âÊÔÎÊÌâ
ÒѾÓÐ9È˻ظ´
¡¾ÇóÖú¡¿ÏßÐÔ¼«»¯ÇúÏßµÄÈô¸ÉÎÊÌâ¡£
ÒѾÓÐ14È˻ظ´

eidolonsea
ľ³æ (ÕýʽдÊÖ)
- ECEPI: 4
- Ó¦Öú: 9 (Ó×¶ùÔ°)
- ½ð±Ò: 3978.9
- ºì»¨: 5
- Ìû×Ó: 447
- ÔÚÏß: 165.4Сʱ
- ³æºÅ: 291008
- ×¢²á: 2006-10-28
- ÐÔ±ð: GG
- רҵ: ½ðÊô²ÄÁϱíÃæ¿ÆÑ§Ó빤³Ì
¡ï
Сľ³æ(½ð±Ò+0.5):¸ø¸öºì°ü£¬Ð»Ð»»ØÌû½»Á÷
Сľ³æ(½ð±Ò+0.5):¸ø¸öºì°ü£¬Ð»Ð»»ØÌû½»Á÷
|
¿´¸¯Ê´ËÙ¶ÈÒ»¶¨Òª¿´¶¯Á¦Ñ§²ÎÊý£¬´ó¼Ò¶¼Ëµ¿´¸¯Ê´µçÁ÷Ãܶȣ¬ÕâÊǶԵ쬵«ÊÇÓÐÒ»¸öǰÌᣬ¾ÍÊDZØÐëÊǵ绯ѧ¼«»¯¡£ µçλֵֻÄÜ×÷²Î¿¼£¬ÒòΪÕâÊÇÈÈÁ¦Ñ§²ÎÊý£¬ÎÞ·¨±íÕ÷ËÙ¶È£¬Ö»ÄÜÊÇÒ»¸öÇ÷ÊÆ¡£ |
10Â¥2011-04-13 19:59:45
xiaobo286
ľ³æ (ÖøÃûдÊÖ)
- ECEPI: 7
- Ó¦Öú: 19 (СѧÉú)
- ½ð±Ò: 4614.9
- É¢½ð: 2305
- ºì»¨: 7
- ɳ·¢: 1
- Ìû×Ó: 1793
- ÔÚÏß: 902Сʱ
- ³æºÅ: 808323
- ×¢²á: 2009-07-13
- ÐÔ±ð: GG
- רҵ: ½ðÊô²ÄÁϱíÃæ¿ÆÑ§Ó빤³Ì
¡ï
Сľ³æ(½ð±Ò+0.5):¸ø¸öºì°ü£¬Ð»Ð»»ØÌû½»Á÷
Сľ³æ(½ð±Ò+0.5):¸ø¸öºì°ü£¬Ð»Ð»»ØÌû½»Á÷
| ²»Ã÷°×Â¥Ö÷˵µÃÊÇɶ£¬²»¹ýͨ¹ý¼«»¯ÇúÏß¿´ÄÍÊ´ÐÔ£¬¾ÍÊÇ¿´¸¯Ê´µçÁ÷Ãܶȣ¬ÄÄÖÖ²ÄÁϵĸ¯Ê´µçÁ÷Ãܶȵͣ¬ÆäÄÍÊ´ÐԾͺà |
2Â¥2011-04-11 23:37:21
bfhydl
ͳæ (³õÈëÎÄ̳)
- Ó¦Öú: 0 (Ó×¶ùÔ°)
- ½ð±Ò: 166.1
- Ìû×Ó: 41
- ÔÚÏß: 11.6Сʱ
- ³æºÅ: 1257291
- ×¢²á: 2011-04-07
- רҵ: ½ðÊô²ÄÁϱíÃæ¿ÆÑ§Ó빤³Ì
|
²»ºÃÒâ˼£¬±¾À´ÏëÉÏ´«Ò»ÕÅÔÚÁ½ÖÖ²»Í¬Ìõ¼þϵÄÑùÆ·¿¹¸¯Ê´ÐԵļ«»¯ÇúÏßͼ£¬¿ÉÊDz»ÖªµÀΪɶÔõôҲ´«²»ÉÏÈ¥¡£ÎÒÊÇÏëÎÊ£¬±È½ÏÄö·½Ãæ¿´ÄÍÊ´ÐÔ£¬±ÈÈ磨1£©¿´Icorr£¬£¨2£©¿´¸¯Ê´µçѹ£¬£¨3£©¿´ÔÚÑô¼«¸¯Ê´¹ý³ÌÖÐÄǸö¶Û»¯µÄ¸ü¶à£¬Ò²¾ÍÊÇÔÚÑô¼«ÉÏÄÜ¿´µ½¸ü¶àµÄ¶Û»¯ºÍÈܽâµÄ¾ºÕùÕÛÏß¡£²»ÖªµÀ˵µÄ¶Ô²»¶Ô£¬»¹ÓÐûÓÐʲôÆäËûµÄÖ¸±ê |

3Â¥2011-04-12 01:31:53
bfhydl
ͳæ (³õÈëÎÄ̳)
- Ó¦Öú: 0 (Ó×¶ùÔ°)
- ½ð±Ò: 166.1
- Ìû×Ó: 41
- ÔÚÏß: 11.6Сʱ
- ³æºÅ: 1257291
- ×¢²á: 2011-04-07
- רҵ: ½ðÊô²ÄÁϱíÃæ¿ÆÑ§Ó빤³Ì

4Â¥2011-04-12 05:10:37
xiaobo286
ľ³æ (ÖøÃûдÊÖ)
- ECEPI: 7
- Ó¦Öú: 19 (СѧÉú)
- ½ð±Ò: 4614.9
- É¢½ð: 2305
- ºì»¨: 7
- ɳ·¢: 1
- Ìû×Ó: 1793
- ÔÚÏß: 902Сʱ
- ³æºÅ: 808323
- ×¢²á: 2009-07-13
- ÐÔ±ð: GG
- רҵ: ½ðÊô²ÄÁϱíÃæ¿ÆÑ§Ó빤³Ì
¡ï
Сľ³æ(½ð±Ò+0.5):¸ø¸öºì°ü£¬Ð»Ð»»ØÌû½»Á÷
Сľ³æ(½ð±Ò+0.5):¸ø¸öºì°ü£¬Ð»Ð»»ØÌû½»Á÷
|
ÄÇÕâ¸ö¾Í¿´¸¯Ê´µçÁ÷Ãܶȣ¬Õâ¸öͼÖÐÓ¦¸ÃÊÇ30µÄÄÍÊ´ÐÔ¸üºÃ£¬ÒòΪ¸¯Ê´µçÁ÷ÃܶȱÈ5µÍ |
5Â¥2011-04-12 08:39:53
СëÇò
°æÖ÷ (ÖªÃû×÷¼Ò)
- ECEPI: 6
- Ó¦Öú: 428 (˶ʿ)
- ¹ó±ö: 1.955
- ½ð±Ò: 44942.1
- É¢½ð: 100
- ºì»¨: 85
- ɳ·¢: 1
- Ìû×Ó: 6346
- ÔÚÏß: 995.4Сʱ
- ³æºÅ: 820516
- ×¢²á: 2009-08-02
- ÐÔ±ð: GG
- רҵ: ¸ßµÈ½ÌÓýѧ
- ¹ÜϽ: µç»¯Ñ§
¡ï
Сľ³æ(½ð±Ò+0.5):¸ø¸öºì°ü£¬Ð»Ð»»ØÌû½»Á÷
Сľ³æ(½ð±Ò+0.5):¸ø¸öºì°ü£¬Ð»Ð»»ØÌû½»Á÷
| µçѹÏàͬʱ£¬5µÄµçÁ÷Öµ¸ü´ó£¬ËùÒÔ¸¯Ê´¸ü¿ì |

6Â¥2011-04-12 09:12:19
bfhydl
ͳæ (³õÈëÎÄ̳)
- Ó¦Öú: 0 (Ó×¶ùÔ°)
- ½ð±Ò: 166.1
- Ìû×Ó: 41
- ÔÚÏß: 11.6Сʱ
- ³æºÅ: 1257291
- ×¢²á: 2011-04-07
- רҵ: ½ðÊô²ÄÁϱíÃæ¿ÆÑ§Ó빤³Ì

7Â¥2011-04-12 10:46:04
bfhydl
ͳæ (³õÈëÎÄ̳)
- Ó¦Öú: 0 (Ó×¶ùÔ°)
- ½ð±Ò: 166.1
- Ìû×Ó: 41
- ÔÚÏß: 11.6Сʱ
- ³æºÅ: 1257291
- ×¢²á: 2011-04-07
- רҵ: ½ðÊô²ÄÁϱíÃæ¿ÆÑ§Ó빤³Ì

8Â¥2011-04-12 10:46:45
wangwenj123
ľ³æ (ÖøÃûдÊÖ)
- Ó¦Öú: 8 (Ó×¶ùÔ°)
- ½ð±Ò: 12599
- ºì»¨: 5
- Ìû×Ó: 2157
- ÔÚÏß: 1000.9Сʱ
- ³æºÅ: 949905
- ×¢²á: 2010-01-28
- ÐÔ±ð: GG
- רҵ: µç·Óëϵͳ
9Â¥2011-04-12 13:42:57













»Ø¸´´ËÂ¥