| 查看: 3952 | 回复: 0 | |
[求助]
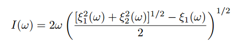
VASP通过计算介电常数得到的吸收谱的吸收系数单位是什么?
|
|
|
|
|
|
找到一些相关的精华帖子,希望有用哦~
科研从小木虫开始,人人为我,我为人人
|












回复此楼
点击这里搜索更多相关资源