| 查看: 1236 | 回复: 6 | |
[求助]
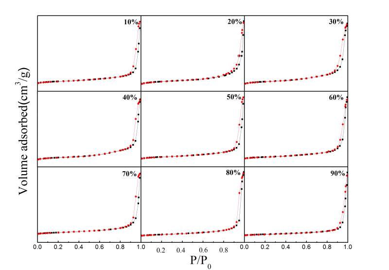
孔径变化很大的原因 已有2人参与
|
|
|
|
|
qixingzhen至尊木虫 (职业作家)
小齐
|
|
|
2楼2014-08-29 15:42:57
|
|
|
3楼2014-08-29 17:14:09
|
|
hollyword新虫 (小有名气)
|
|
|
4楼2014-08-29 17:42:45
|
|
|
5楼2014-08-31 16:52:22
|
|
|
6楼2014-08-31 16:53:03
|
|
hollyword新虫 (小有名气)
|
|
|
7楼2014-09-01 12:36:24
|
|














回复此楼