| 查看: 4139 | 回复: 9 | |
[求助]
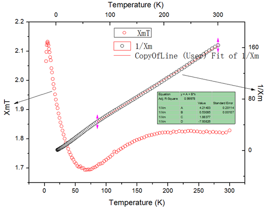
请帮忙变温磁化率曲线数据分析 已有1人参与
|
|
|
|
|
wangningsir木虫 (著名写手)
上书房行走
|
|
![]() |
|
|
2楼2014-07-14 14:00:16
|
|
|
3楼2014-07-14 18:29:57
|
|
|
4楼2014-07-18 17:26:00
|
|
wwyygg0520新虫 (文坛精英)
头大不怕雨淋
|
|
|
5楼2014-07-18 23:26:40
|
|
|
6楼2014-07-19 15:44:50
|
|
|
7楼2014-07-23 08:35:36
|
|
|
8楼2015-07-23 08:57:08
|
|
|
9楼2018-07-27 14:52:08
|
|
|
10楼2018-07-27 14:52:32
|
|














回复此楼

joe2000