±±¾©Ê¯ÓÍ»¯¹¤Ñ§Ôº2026ÄêÑо¿ÉúÕÐÉú½ÓÊÕµ÷¼Á¹«¸æ
²é¿´: 315  |  »Ø¸´: 1

keywsw

гæ (³õÈëÎÄ̳)

[ÇóÖú] ¹òÇó´óÉñ°ïæ-¼È¶¨º¯ÊýµÄ·ÇÏßÐÔÄâºÏ ÒÑÓÐ1È˲ÎÓë

¸÷λ´óÉñ£¬ÎÒÓиöÎÊÌâ֮ǰ·¢¹ýÇóÖúÌû£¬°æÖ÷ºÜÈÈÐĵظøÁËÎÒÏà¹Ø×ÊÁϵÄÁ´½Ó£¬µ«¿àÓÚ×Ô¼ºÕâ·½Ãæ»ù´¡±È½Ï²î£¬ËùÒÔÏ£Íû´óÉñ¾ÍÎÒÕâ¸ö¾ßÌå°¸Àý±àдÏêϸ´úÂ루²»ÊÇÂ¥Ö÷ÀÁ£¬ÊÇÕæµÄ²»»áorz£©¡£
          ÎÒÔÙ°ÑÎÊÌâÐðÊöһϣº
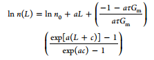
º¯Êý£º¼û¸½¼þ
Êý¾Ý£ºL=[3.765E-07,4.225E-07,4.740E-07,5.315E-07,5.965E-07,6.695E-07,7.510E-07,8.425E-07,9.455E-07,1.061E-06,1.191E-06,1.336E-06,1.499E-06,1.682E-06,1.887E-06,2.117E-06,2.376E-06,2.665E-06,2.990E-06,3.355E-06,3.765E-06,4.224E-06,4.740E-06,5.318E-06,5.967E-06,6.695E-06,7.511E-06,
8.428E-06,9.457E-06,1.061E-05,1.190E-05,1.336E-05,1.499E-05,1.682E-05,1.887E-05,2.117E-05,2.375E-05,2.665E-05,2.990E-05,3.355E-05,3.765E-05,
4.224E-05,4.739E-05,5.318E-05,5.967E-05,6.695E-05,7.511E-05,8.428E-05,9.456E-05,1.061E-04,1.190E-04,1.336E-04,1.499E-04,1.682E-04,1.887E-04,
2.117E-04,2.375E-04,2.665E-04]
ln n=[55.3324 ,55.3080 ,55.3011 ,54.9469 ,54.5777 ,54.1216,53.6177 ,53.0470 ,52.4666 ,51.8005 ,51.1720 ,50.5084 ,50.0526 ,49.5927 ,49.3310 ,49.0350 ,
48.7202 ,48.3862 ,48.0865 ,47.7211 ,47.3885 ,47.0409 ,46.6826 ,46.3155 ,45.9373 ,45.5818 ,45.2352 ,44.9155 ,44.6291 ,44.3690 ,44.1393 ,43.9163 ,43.6995 ,43.4762 ,43.2398 ,42.9825 ,42.7067 ,42.4023 ,42.0768 ,41.7226 ,41.3427 ,40.9367 ,40.5044 ,40.0456 ,39.5582 ,39.0419 ,38.4971 ,37.9199 ,
37.3059 ,36.6524 ,35.9489 ,35.1920 ,34.3677 ,33.4724 ,32.4824 ,31.4189 ,29.8937 ,28.2292 ]
t=1875 s¹òÇó´óÉñ°ïæ-¼È¶¨º¯ÊýµÄ·ÇÏßÐÔÄâºÏ
¹«Ê½5.PNG
»Ø¸´´ËÂ¥

» ±¾Ìû¸½¼þ×ÊÔ´Áбí

  • »¶Ó­¼à¶½ºÍ·´À¡£ºÐ¡Ä¾³æ½öÌṩ½»Á÷ƽ̨£¬²»¶Ô¸ÃÄÚÈݸºÔð¡£
    ±¾ÄÚÈÝÓÉÓû§×ÔÖ÷·¢²¼£¬Èç¹ûÆäÄÚÈÝÉæ¼°µ½ÖªÊ¶²úȨÎÊÌ⣬ÆäÔðÈÎÔÚÓÚÓû§±¾ÈË£¬Èç¶Ô°æÈ¨ÓÐÒìÒ飬ÇëÁªÏµÓÊÏ䣺xiaomuchong@tal.com
  • ¸½¼þ 1 : ˵Ã÷.rar
  • 2014-07-01 15:31:24, 145.11 K

» ²ÂÄãϲ»¶

» ±¾Ö÷ÌâÏà¹Ø¼ÛÖµÌùÍÆ¼ö£¬¶ÔÄúͬÑùÓаïÖú:

ÒÑÔÄ   »Ø¸´´ËÂ¥   ¹Ø×¢TA ¸øTA·¢ÏûÏ¢ ËÍTAºì»¨ TAµÄ»ØÌû

Ìﱦ¸Õ

Ìú³æ (³õÈëÎÄ̳)

¡¾´ð°¸¡¿Ó¦Öú»ØÌû

´ó¸ç£¬ÎÒÅöµ½¸úÄã²î²»¶àÒ»ÑùµÄÎÊÌâ¡£²»ÖªµÀÄã½â¾öÁËû£¿ÒªÊǽâ¾öÁ˵ϰ¿É·ñ¸æÖªÐ¡µÜÔõô¸ãµÄ¡£
Óе㴫ͳ£¬Óеã¹Â¶À£¬ÓеãÐ°Æø¡£
2Â¥2014-08-18 13:52:37
ÒÑÔÄ   »Ø¸´´ËÂ¥   ¹Ø×¢TA ¸øTA·¢ÏûÏ¢ ËÍTAºì»¨ TAµÄ»ØÌû
Ïà¹Ø°æ¿éÌø×ª ÎÒÒª¶©ÔÄÂ¥Ö÷ keywsw µÄÖ÷Ìâ¸üÐÂ
×î¾ßÈËÆøÈÈÌûÍÆ¼ö [²é¿´È«²¿] ×÷Õß »Ø/¿´ ×îºó·¢±í
[¿¼ÑÐ] 304²ÄÁÏÇóµ÷¼Á +4 ÖÓllll 2026-03-26 4/200 2026-03-27 03:42 by wxiongid
[¿¼ÑÐ] ¸´ÊÔµ÷¼Á£¬Ò»Ö¾Ô¸ÄÏÅ©083200ʳƷ¿ÆÑ§Ó빤³Ì +4 XQTJZ 2026-03-26 4/200 2026-03-27 01:23 by dgnhs
[¿¼ÑÐ] 336²ÄÁÏÇóµ÷¼Á +7 ³ÂäÞÓ¨ 2026-03-26 9/450 2026-03-27 00:20 by wxiongid
[¿¼ÑÐ] 325Çóµ÷¼Á +3 Aoyijiang 2026-03-23 3/150 2026-03-26 20:46 by ²»³Ôô~µÄ؈
[¿¼ÑÐ] ÉúÎïѧ 296 Çóµ÷¼Á +4 ¶ä¶ä- 2026-03-26 6/300 2026-03-26 19:01 by ²»³Ôô~µÄ؈
[¿¼ÑÐ] 292Çóµ÷¼Á +9 ¶ì¶ì¶ì¶î¶î¶î¶î¶ 2026-03-25 10/500 2026-03-26 16:27 by ²»³Ôô~µÄ؈
[¿¼ÑÐ] 303Çóµ÷¼Á +6 À¶É½Ô 2026-03-25 6/300 2026-03-25 22:47 by 418490947
[¿¼ÑÐ] ÍøÂç¿Õ¼ä°²È«0839Õе÷¼Á +4 w320357296 2026-03-25 6/300 2026-03-25 17:59 by 255671
[¿¼ÑÐ] ÕÐ08¿¼Êýѧ +8 laoshidan 2026-03-20 17/850 2026-03-25 17:52 by Ò»¸öºìÌ«Ñô
[¿¼ÑÐ] ÇóbÇøÔºÐ£µ÷¼Á +4 ÖÜ56 2026-03-24 5/250 2026-03-25 17:12 by yishunmin
[¿¼ÑÐ] ²ÄÁϵ÷¼Á +3 iwinso 2026-03-23 3/150 2026-03-25 11:29 by greychen00
[¿¼ÑÐ] 299Çóµ÷¼Á +7 shxchem 2026-03-20 9/450 2026-03-25 10:41 by lbsjt
[¿¼ÑÐ] 0703»¯Ñ§Çóµ÷¼Á +6 ÄÌÓͲÝÝ®. 2026-03-22 7/350 2026-03-25 10:00 by shangxh
[Óлú½»Á÷] ÓлúºÏ³ÉÇóÖú 20+3 FENGSHUJEI 2026-03-23 5/250 2026-03-24 19:31 by 88817753
[¿¼ÑÐ] 277·ÖÇóµ÷¼Á£¬¿çµ÷²ÄÁÏ +3 ¿¼Ñе÷¼Álxh 2026-03-24 3/150 2026-03-24 13:52 by JourneyLucky
[»ù½ðÉêÇë] Çë½ÌÏ´ó¼Ò 2026Äê¹ú¼Ò»ù½ðÉêÇëÊÇ˫äÉóÂ𣿠+3 lishucheng1 2026-03-22 5/250 2026-03-24 08:22 by gltch
[¿¼ÑÐ] 303Çóµ÷¼Á +5 °²ÒäÁé 2026-03-22 6/300 2026-03-22 12:46 by ËØÑÕÇã³Ç1988
[¿¼ÑÐ] 0703»¯Ñ§297Çóµ÷¼Á +3 Daisy¡î 2026-03-20 3/150 2026-03-21 17:45 by ColorlessPI
[¿¼ÑÐ] 22408 344·Ö Çóµ÷¼Á Ò»Ö¾Ô¸ »ªµç¼ÆËã»ú¼¼Êõ +4 solanXXX 2026-03-20 4/200 2026-03-20 23:49 by alg094825
[¿¼ÑÐ] Ò»Ö¾Ô¸ÄÏÀí¹¤085701»·¾³302Çóµ÷¼ÁԺУ +3 ¿ûè÷ÎÀ¶Ó 2026-03-20 3/150 2026-03-20 19:28 by zhukairuo
ÐÅÏ¢Ìáʾ
ÇëÌî´¦ÀíÒâ¼û