版块导航
正在加载中...
客户端APP下载
论文辅导
调剂小程序
登录
注册
帖子
帖子
用户
本版
应《网络安全法》要求,自2017年10月1日起,未进行实名认证将不得使用互联网跟帖服务。为保障您的帐号能够正常使用,请尽快对帐号进行手机号验证,感谢您的理解与支持!
24小时热门版块排行榜
>
论坛更新日志
(742)
>
虫友互识
(52)
>
导师招生
(31)
>
硕博家园
(27)
>
找工作
(25)
>
考博
(20)
>
公派出国
(13)
>
论文道贺祈福
(11)
>
考研
(7)
>
精细化工
(6)
>
文献求助
(6)
>
休闲灌水
(5)
>
教师之家
(3)
>
论文投稿
(3)
>
绿色求助(高悬赏)
(2)
>
基金申请
(2)
小木虫论坛-学术科研互动平台
»
化学化工区
»
电化学
»
电化基础
»
求助EIS图阻抗读数
1
1/1
返回列表
查看: 766 | 回复: 0
只看楼主
@他人
存档
新回复提醒
(忽略)
收藏
在APP中查看
青青OH
金虫
(小有名气)
应助: 4
(幼儿园)
金币: 1186.4
散金: 31
红花: 4
帖子: 127
在线: 79.7小时
虫号: 1607572
注册: 2012-02-09
性别:
MM
专业: 能源化工
[
求助
]
求助EIS图阻抗读数
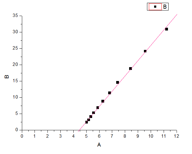
我是测SS/GPE/SS,理论上曲线就是一直线,读数大概是与实轴的交点。
但是经常测不出来交点(如图),我是应该读第一个数呢,还是用直线拟合一下(如图中红线)然后读与实轴的交点呢?
如果用Zview拟合,会与实轴有交点吗?
eis.png
回复此楼
» 猜你喜欢
德国Karlsruhe Institute of Technology招收电化学储能及联合培养CSC博士等
已经有20人回复
德国Karlsruhe Institute of Technology招收电化学储能及联合培养CSC博士
已经有24人回复
分析化学论文润色/翻译怎么收费?
已经有299人回复
德国Karlsruhe Institute of Technology招收电化学储能及联合培养CSC博士
已经有1人回复
固态锂金属电池迁移数计算求助
已经有1人回复
荷兰奈梅亨大学赵文博与Galimberti课题组招收理论计算CSC博士 2000 欧元/月+房补
已经有0人回复
26储能博士申请自荐
已经有22人回复
上海交通大学--宁波东方理工大学电池方向博士招生
已经有10人回复
海南大学全国重点实验室杨金霖老师招收储能电池方向博士生(2026年3月报名,9月入学)
已经有1人回复
海南师范大学2026年博士研究生招收 (在职想提升学历人员可报考) 申请考核制+普通招考
已经有0人回复
申博求助
已经有0人回复
1楼
2014-06-12 15:44:17
已阅
回复此楼
关注TA
给TA发消息
送TA红花
TA的回帖
智能机器人
Robot
(super robot)
我们都爱小木虫
找到一些相关的精华帖子,希望有用哦~
分析一种材料是否具有电化学稳定性,是不是可以从使用前后的EIS、CV的变化分析??
已经有4人回复
用CHI-604B电化学工作站进行交流阻抗的测试的具体方法!!!
已经有5人回复
如何求EIS阻抗值??
已经有29人回复
电化学阻抗问题EIS
已经有6人回复
用CHI 660D电化学工作站测交流阻抗
已经有10人回复
有关Nyquist图谱使用ZSimpWin拟合时候的一些问题~~~~~~~~求助
已经有4人回复
求助- 这个免疫组化图可以用吗
已经有5人回复
zsimpwin,如何用origin绘制Bode图
已经有11人回复
交流阻抗EIS拟合
已经有3人回复
请大家帮忙解释一下这个怪异的EIS(电化学交流阻抗谱图),多谢!!
已经有15人回复
从EIS的反应阻抗计算交换电流密度
已经有5人回复
用电池测试交流阻抗得到的内阻比实际测量电池的内阻大,是什么原因呢
已经有10人回复
电化学阻抗谱的分析,请高手指教,万分感谢!!
已经有32人回复
阻抗测电阻的问题
已经有10人回复
【交流】关于EIS阻抗的一个问题
已经有16人回复
【求助】高价求EIS阻抗拟合
已经有16人回复
【求助】【求助】EIS交流阻抗谱的基础问题 谢谢~~
已经有9人回复
点击这里搜索更多相关资源
科研从小木虫开始,人人为我,我为人人
相关版块跳转
有机交流
有机资源
高分子
无机/物化
分析
催化
工艺技术
化工设备
石油化工
精细化工
电化学
环境
SciFinder/Reaxys
我要订阅楼主
青青OH
的主题更新
1
1/1
返回列表
如果回帖内容含有宣传信息,请如实选中。否则帐号将被全论坛禁言
普通表情
龙
兔
虎
猫
百度网盘
|
360云盘
|
千易网盘
|
华为网盘
在新窗口页面中打开自己喜欢的网盘网站,将文件上传后,然后将下载链接复制到帖子内容中就可以了。
信息提示
关闭
请填处理意见
关闭
确定