| 查看: 1331 | 回复: 9 | ||
阡陌蔓木虫 (正式写手)
|
[求助]
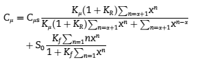
曲线的公式拟合,公式里面有加和 已有2人参与
|
|
![]() |
||
|
|
||
仙木映月金虫 (正式写手)
|
||
![]() |
||
|
2楼2014-06-09 21:08:24
|
|
|
dingd铁杆木虫 (职业作家)
|
||
|
3楼2014-06-10 08:53:40
|
|
|
阡陌蔓木虫 (正式写手)
|
|
|
![]() |
||
|
4楼2014-07-30 11:10:39
|
|
|
阡陌蔓木虫 (正式写手)
|
|
|
![]() |
||
|
5楼2014-07-30 11:14:17
|
|
|
dingd铁杆木虫 (职业作家)
|
» 本帖已获得的红花(最新10朵) |
|
|
6楼2014-07-30 11:44:02
|
|
|
阡陌蔓木虫 (正式写手)
|
||
![]() |
||
|
7楼2014-07-30 15:24:48
|
|
|
dingd铁杆木虫 (职业作家)
|
|
|
|
8楼2014-07-30 23:21:13
|
|
|
阡陌蔓木虫 (正式写手)
|
送红花一朵
» 本帖附件资源列表
2015-08-13 12:25:33, 103.84 K
|
|
![]() |
||
|
9楼2015-08-13 12:25:37
|
|
|
阡陌蔓木虫 (正式写手)
|
||
![]() |
||
|
10楼2015-08-18 22:06:49
|
|













回复此楼
阡陌蔓