| 查看: 1397 | 回复: 1 | ||
n23456m木虫 (小有名气)
|
[求助]
【已解决】结合matlab利用数值法画出一阶偏微分方程组的图
|
|
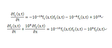
这是一个一阶偏微分方程组,我现在想画出f1、f2随x、t变化的三维图,哪位高手帮我解答一下,麻烦把程序以及M文件给我写下,万分感激 其初始条件:f1(x,0)=0,f2(x,0)=0,f2(0,t)=10000,x的范围0到1,t的范围从0到0.00001 fangcheng.gif [ Last edited by 1592203609 on 2014-5-29 at 10:42 ] |
» 猜你喜欢
材料与化工考研调剂
已经有13人回复
一志愿211院校 344分 东北农业大学生物学学硕,求调剂
已经有5人回复
一志愿北京化工大学材料与化工 264分各科过A区国家线
已经有7人回复
275求调剂
已经有12人回复
材料与化工085600,总分304,本科有两篇sci参与,求调剂
已经有7人回复
0856材料化工调剂 总分330
已经有4人回复
308求调剂
已经有6人回复
一志愿陕师大生物学071000,298分,求调剂
已经有5人回复
0856材料专硕353求调剂
已经有8人回复
南昌大学材料专硕311分求调剂
已经有9人回复
» 本主题相关价值贴推荐,对您同样有帮助:
非线性二阶微分方程组求解,matlab
已经有12人回复
二阶偏微分方程组matlab求解
已经有4人回复
利用matlab求一阶变系数微分方程组的数值解。
已经有7人回复
偏微分方程Matlab求解
已经有7人回复
求如何用mathematica和matlab画偏微分图
已经有8人回复
Matlab求解二阶偏微分方程组,希望能给出相应的求解代码
已经有10人回复
有限差分离散二阶偏微分方程后如何编译matlab程序解方程组?
已经有3人回复
求助:如何用MATLAB的偏微分方程工具箱画出不同区域内的温度分布图?
已经有5人回复
matlab解一阶常微分方程组
已经有4人回复
请教用matlab求解一个非线性偏微分方程组的数值解
已经有8人回复
matlab有限差分法求解复杂的偏微分方程组
已经有19人回复
Matlab求解偏微分方程组
已经有22人回复
【求助】帮忙求解四元方程组
已经有11人回复
【求助】matlab怎么求解偏微分方程组啊,先谢谢了
已经有13人回复
【求助】一个时变微分方程组的matlab实现
已经有8人回复

2楼2020-06-30 17:31:23














回复此楼
6