²é¿´: 807  |  »Ø¸´: 2

sunshibo1989

гæ (³õÈëÎÄ̳)

[ÇóÖú] ½»Á÷×迹Æ×·ÖÎöÇóÖú£¡ ÒÑÓÐ1È˲ÎÓë

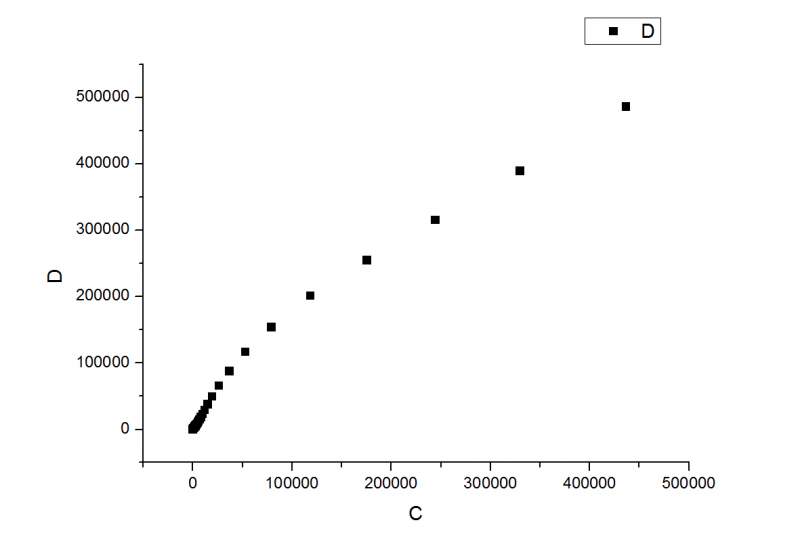
¸Õ²âµÄ½»Á÷×迹Æ×£¬²»»á·ÖÎö£¬Çó½â¾È£¡£¡£¡£¡
µÚ¶þÕÅͼÊǵÚÒ»ÕÅͼµÄ¾Ö²¿·Å´ó£¬²»ÖªµÀ×迹¶à´ó£¬ºÜ¾À½á

½»Á÷×迹Æ×·ÖÎöÇóÖú£¡
1.jpg


½»Á÷×迹Æ×·ÖÎöÇóÖú£¡-1
2.jpg
»Ø¸´´ËÂ¥

» ²ÂÄãϲ»¶

» ±¾Ö÷ÌâÏà¹Ø¼ÛÖµÌùÍÆ¼ö£¬¶ÔÄúͬÑùÓаïÖú:

ÒÑÔÄ   »Ø¸´´ËÂ¥   ¹Ø×¢TA ¸øTA·¢ÏûÏ¢ ËÍTAºì»¨ TAµÄ»ØÌû

wlfnihaosha

½ð³æ (СÓÐÃûÆø)

Â¥Ö÷£¬ÎÒ×ö³öÀ´µÄºÍÄãºÜÏñ£¬²»ÖªµÀÄã½â¾öÁËû
ºÃºÃѧϰ
2Â¥2014-07-28 09:58:07
ÒÑÔÄ   »Ø¸´´ËÂ¥   ¹Ø×¢TA ¸øTA·¢ÏûÏ¢ ËÍTAºì»¨ TAµÄ»ØÌû

huhuboy

ÖÁ×ðľ³æ (ÕýʽдÊÖ)

¡¾´ð°¸¡¿Ó¦Öú»ØÌû

Ö±½Ó¿´²»³öÀ´£¬ÄâºÏһϰɣ¬´óÔ¼1E6Å·£¬
3Â¥2014-07-28 10:02:57
ÒÑÔÄ   »Ø¸´´ËÂ¥   ¹Ø×¢TA ¸øTA·¢ÏûÏ¢ ËÍTAºì»¨ TAµÄ»ØÌû
Ïà¹Ø°æ¿éÌø×ª ÎÒÒª¶©ÔÄÂ¥Ö÷ sunshibo1989 µÄÖ÷Ìâ¸üÐÂ
×î¾ßÈËÆøÈÈÌûÍÆ¼ö [²é¿´È«²¿] ×÷Õß »Ø/¿´ ×îºó·¢±í
[¿¼ÑÐ] Ò»Ö¾Ô¸»ªÖпƼ¼´óѧ£¬080502£¬354·ÖÇóµ÷¼Á +4 ÊØºòϦÑôCF 2026-03-18 4/200 2026-03-18 22:16 by li123456789.
[¿¼ÑÐ] 274Çóµ÷¼Á +5 S.H1 2026-03-18 5/250 2026-03-18 21:27 by guosr9609
[¿¼ÑÐ] 344Çóµ÷¼Á +6 knight344 2026-03-16 7/350 2026-03-18 20:13 by walc
[¿¼ÑÐ] Ò»Ö¾Ô¸ÎäÀí²ÄÁÏ305·ÖÇóµ÷¼Á +5 ÏëÉϰ¶µÄÀðÓã 2026-03-18 6/300 2026-03-18 17:53 by Î޼ʵIJÝÔ­
[¿¼ÑÐ] ÊÕ¸´ÊÔµ÷¼ÁÉú +4 ÓêºóÇïºÉ 2026-03-18 4/200 2026-03-18 14:16 by elevennnne
[¿¼ÑÐ] 302Çóµ÷¼Á +10 ºôºôºô¡£¡£¡£¡£ 2026-03-17 10/500 2026-03-18 12:45 by Linda Hu
[¿¼ÑÐ] 0854£¬¼ÆËã»úÀàÕÐÊÕµ÷¼Á +3 ºúÀ±ÌÀ·ÅÌÇ 2026-03-15 6/300 2026-03-18 12:09 by Éϰ¶Éϰ¶¡­¡­..
[¿¼ÑÐ] ¹¤¿Æ²ÄÁÏ085601 279Çóµ÷¼Á +6 À§ÓÚÐdz¿ 2026-03-17 6/300 2026-03-18 10:21 by kkcoco25
[¿¼ÑÐ] 326Çóµ÷¼Á +5 Éϰ¶µÄСÆÏ 2026-03-15 6/300 2026-03-17 17:26 by ruiyingmiao
[¿¼ÑÐ] 308Çóµ÷¼Á +4 ÊÇLupa°¡ 2026-03-16 4/200 2026-03-17 17:12 by ruiyingmiao
[¿¼ÑÐ] [µ¼Ê¦ÍƼö]Î÷ÄϿƼ¼´óѧ¹ú·À/²ÄÁϵ¼Ê¦ÍƼö +3 ¼â½ÇСºÉ 2026-03-16 6/300 2026-03-16 23:21 by ¼â½ÇСºÉ
[¿¼ÑÐ] 0854¿ØÖƹ¤³Ì 359Çóµ÷¼Á ¿É¿çרҵ +3 626776879 2026-03-14 9/450 2026-03-16 17:42 by 626776879
[¿¼ÑÐ] 283Çóµ÷¼Á +10 С¥¡£ 2026-03-12 14/700 2026-03-16 16:08 by 13811244083
[¿¼ÑÐ] 0703 ÎïÀí»¯Ñ§µ÷¼Á +3 ÎÒ¿ÉÒÔÉϰ¶µÄ¶Ô 2026-03-13 5/250 2026-03-16 10:50 by ÎÒ¿ÉÒÔÉϰ¶µÄ¶ÔÂ
[¿¼ÑÐ] 0703»¯Ñ§µ÷¼Á 290·ÖÓпÆÑо­Àú£¬ÂÛÎÄÔÚͶ +7 ÄåÄågk 2026-03-14 7/350 2026-03-16 10:12 by houyaoxu
[¿¼ÑÐ] 289Çóµ÷¼Á +4 ÕâôÃû×ÖÕ¦Ñù 2026-03-14 6/300 2026-03-14 18:58 by userper
[¿¼ÑÐ] ²ÄÁÏÓ뻯¹¤Çóµ÷¼ÁÒ»Ö¾Ô¸ 985 ×Ü·Ö 295 +8 dream¡­¡­ 2026-03-12 8/400 2026-03-13 22:17 by ÐÇ¿ÕÐÇÔÂ
[¿¼ÑÐ] Çóµ÷¼Á +5 Ò»¶¨ÓÐѧÉÏ- 2026-03-12 5/250 2026-03-13 18:31 by ms629
[¿¼ÑÐ] ¹¤¿Æ²ÄÁÏ085601 279Çóµ÷¼Á +8 À§ÓÚÐdz¿ 2026-03-12 10/500 2026-03-13 15:42 by ms629
[¿¼ÑÐ] ²ÄÁÏ301·ÖÇóµ÷¼Á +5 Liyouyumairs 2026-03-12 5/250 2026-03-13 14:42 by JourneyLucky
ÐÅÏ¢Ìáʾ
ÇëÌî´¦ÀíÒâ¼û