| 查看: 535 | 回复: 1 | |||
[求助]
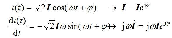
关于复数、相量的相关问题
|
|||
|
|
|||
feixiaolin荣誉版主 (文坛精英)
|
|||
|
2楼2014-04-25 08:54:55
|
|













回复此楼