版块导航
正在加载中...
客户端APP下载
论文辅导
调剂小程序
登录
注册
帖子
帖子
用户
本版
应《网络安全法》要求,自2017年10月1日起,未进行实名认证将不得使用互联网跟帖服务。为保障您的帐号能够正常使用,请尽快对帐号进行手机号验证,感谢您的理解与支持!
24小时热门版块排行榜
>
论坛更新日志
(595)
>
虫友互识
(40)
>
导师招生
(22)
>
硕博家园
(22)
>
找工作
(16)
>
考博
(15)
>
公派出国
(8)
>
论文道贺祈福
(6)
>
考研
(6)
>
精细化工
(4)
>
文献求助
(4)
>
休闲灌水
(4)
>
教师之家
(3)
>
基金申请
(2)
>
外文书籍求助
(2)
>
机械
(1)
小木虫论坛-学术科研互动平台
»
化学化工区
»
电化学
»
电化基础
»
在金电极表面做了修饰,测得的阻抗谱,找不到合适的拟合电路
2
1/1
返回列表
查看: 460 | 回复: 1
只看楼主
@他人
存档
新回复提醒
(忽略)
收藏
在APP中查看
胡智萍
金虫
(小有名气)
应助: 0
(幼儿园)
金币: 426.6
散金: 78
红花: 2
帖子: 86
在线: 59.8小时
虫号: 1239745
注册: 2011-03-20
性别:
MM
专业: 高分子合成化学
[
求助
]
在金电极表面做了修饰,测得的阻抗谱,找不到合适的拟合电路
已有1人参与
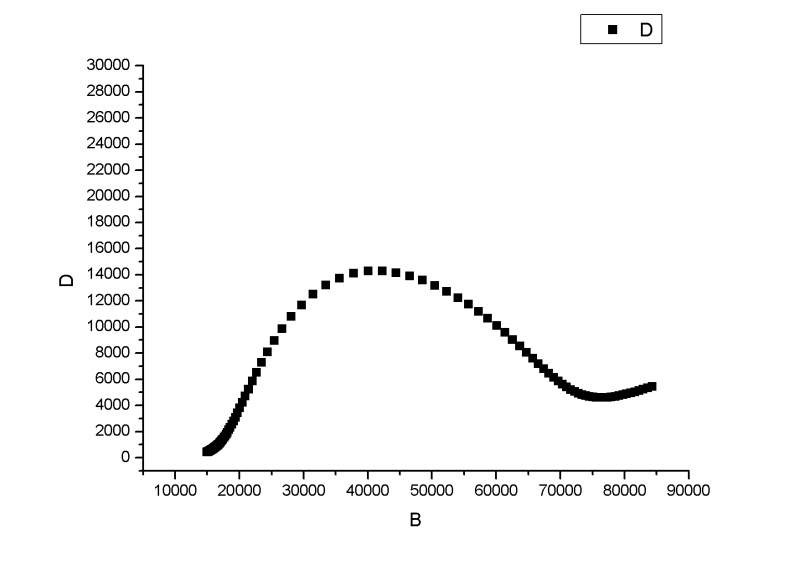
初次接触电化学,对阻抗谱的拟合知之甚少,用Zview软件拟合,感觉没有方法。
想问是不是从阻抗谱就能大概知道等效电路是由哪些元件构成的,等效拟合时是一段阻抗谱对应一部分等效电路吗?还是先设计好全部的电路,在直接run fitting,求高手指教。下面附上我的阻抗谱,等效电路大概是什么样呢?
自己一步步拟合总是出现错误,就算拟合出来的也感觉是碰运气,而且不能解释自己的体系,再换元件就又拟合不了了。
1111.jpg
回复此楼
» 猜你喜欢
德国Karlsruhe Institute of Technology招收电化学储能及联合培养CSC博士等
已经有20人回复
德国Karlsruhe Institute of Technology招收电化学储能及联合培养CSC博士
已经有24人回复
分析化学论文润色/翻译怎么收费?
已经有163人回复
德国Karlsruhe Institute of Technology招收电化学储能及联合培养CSC博士
已经有1人回复
固态锂金属电池迁移数计算求助
已经有1人回复
荷兰奈梅亨大学赵文博与Galimberti课题组招收理论计算CSC博士 2000 欧元/月+房补
已经有0人回复
26储能博士申请自荐
已经有22人回复
上海交通大学--宁波东方理工大学电池方向博士招生
已经有10人回复
海南大学全国重点实验室杨金霖老师招收储能电池方向博士生(2026年3月报名,9月入学)
已经有1人回复
海南师范大学2026年博士研究生招收 (在职想提升学历人员可报考) 申请考核制+普通招考
已经有0人回复
申博求助
已经有0人回复
» 本主题相关价值贴推荐,对您同样有帮助:
求助电化学阻抗的拟合电路
已经有10人回复
关于阻抗拟合电路中电阻值的求法?
已经有4人回复
有关修饰电极的表征
已经有9人回复
多壁碳纳米管修饰玻碳电极测试交流阻抗谱得不到半圆,为什么?
已经有20人回复
期待大牛!帮忙拟合阻抗谱等效电路~
已经有21人回复
求助阻抗谱分析拟合和等效电路图
已经有5人回复
腐蚀低碳钢阻抗谱可以用R(CR)(QR)拟合,怎么理解呢,谢谢
已经有14人回复
染料敏化电池 对电极(symmetrical cell)阻抗谱 zview 拟合 中等效元件
已经有12人回复
请大家帮忙解释一下这个怪异的EIS(电化学交流阻抗谱图),多谢!!
已经有15人回复
在做交流阻抗时候电极表面产生大量的气泡正常么?
已经有6人回复
两个半圆的阻抗谱拟合,该怎么拟合,是否适合两个(电阻电容并联模型)串联结构
已经有5人回复
为什么金电极NHS/EDC活化后,交流阻抗变为零?
已经有18人回复
离子导电玻璃片两面涂银浆测其交流阻抗拟合应该用什么等效电路啊?
已经有3人回复
测电极材料的在不同的电位下的交流阻抗谱怎么测?
已经有4人回复
请问交流阻抗谱测得的Rs是工作电极与对电极之间的实电阻部分吗?
已经有4人回复
用Zsimpin等效电路拟合阻抗值的问题
已经有7人回复
实验测得的交流阻抗谱必须进行拟合吗
已经有5人回复
交流阻抗高手:关于存在吸附电感的交流阻抗拟合等效电路
已经有4人回复
【求助】三电极系统的电化学阻抗,怎么拟合电路呢
已经有6人回复
【求助】求助高手交流阻抗图 拟合等效电路的问题
已经有19人回复
【求助】化学修饰电极阻抗拟合图
已经有12人回复
【交流】关于修饰电极阻抗表征的问题
已经有3人回复
1楼
2014-04-22 16:44:15
已阅
回复此楼
关注TA
给TA发消息
送TA红花
TA的回帖
胡琪
铁杆木虫
(著名写手)
ECEPI: 3
应助: 830
(博后)
金币: 10231.1
散金: 500
红花: 68
帖子: 2976
在线: 881.6小时
虫号: 1346956
注册: 2011-07-15
性别: GG
专业: 有机合成
【答案】应助回帖
首先你要选择一个拟合软件进行拟合,然后才把数据用txt文档导入软件,之后在选择合适的电路图进行拟合,误差不超过10%
赞
一下
回复此楼
天地任我行
2楼
2014-07-03 22:40:46
已阅
回复此楼
关注TA
给TA发消息
送TA红花
TA的回帖
相关版块跳转
有机交流
有机资源
高分子
无机/物化
分析
催化
工艺技术
化工设备
石油化工
精细化工
电化学
环境
SciFinder/Reaxys
我要订阅楼主
胡智萍
的主题更新
2
1/1
返回列表
如果回帖内容含有宣传信息,请如实选中。否则帐号将被全论坛禁言
普通表情
龙
兔
虎
猫
百度网盘
|
360云盘
|
千易网盘
|
华为网盘
在新窗口页面中打开自己喜欢的网盘网站,将文件上传后,然后将下载链接复制到帖子内容中就可以了。
信息提示
关闭
请填处理意见
关闭
确定