| 查看: 3223 | 回复: 3 | ||
linfa_2012新虫 (小有名气)
|
[求助]
固体UV-VIS谱图上吸收强度不同说明什么问题
|
|
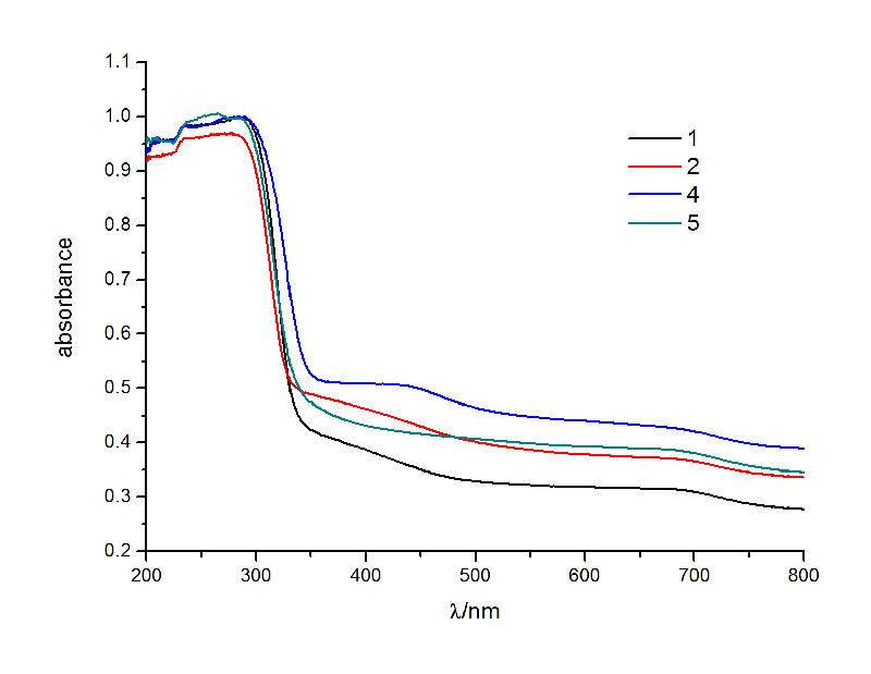
上传的图片是我做的四个配合物的固体紫外-可见吸收光谱图,是发表文章用的。审稿意见中有一条说是要我解释谱图中强度差别的原因。这个是什么原因呢?能从哪些因素考虑?感觉这个要比分析细节峰要难!这四条峰都是用一条基线扫的哦。。。 另外,这个图很明显没有细节峰,固体紫外可见吸收谱图都是这样拉的很长吗?这个图在400nm左右算不算细节峰呢? uv1-5.gif |
» 猜你喜欢
中南大学易小艺课题组诚招2026申请-考核制博士生
已经有0人回复
海南师范大学招收化学博士(光电功能材料课题组招收博士研究生)
已经有10人回复
无机化学论文润色/翻译怎么收费?
已经有176人回复
求助几个团簇的cif
已经有0人回复
急求该反应的详细机理
已经有4人回复
» 本主题相关价值贴推荐,对您同样有帮助:
XRD峰值与发射光谱
已经有16人回复
请问 UV-VIS 和荧光吸收光谱有什么区别
已经有8人回复
有没有各个HPLC检测器能用来检测什么物质的详细介绍的资料
已经有4人回复
这么逆天的二氧化钛UV-VIS图你们见过吗,是什么意思,求高手进
已经有18人回复
石墨粉的UV-VIS漫反射光谱
已经有5人回复
UV-VIS漫反射的样品制备交流
已经有17人回复
纯水的UV-Vis-NIR吸收光谱为什么会出现后面那样的峰?
已经有9人回复
紫外吸收强度与什么有关?
已经有7人回复
求教:固体UV-VIs图谱的问题
已经有4人回复
什么材料吸收X光很少
已经有8人回复
不同颜色的TiO2纳米管阵列薄膜的UV-Vis吸收光谱
已经有16人回复
请教一个固体膜UV-vis吸收测试的问题
已经有12人回复
对于发光半导体材料,激发光谱和UV-Vis吸收谱有什么异同?
已经有11人回复
PL光致发光吸收谱和UV-vis吸收谱的区别
已经有10人回复
PL谱和透射吸收谱表征材料禁带宽度的时候,误差多大?
已经有8人回复
UV-vis spectra怎么分析
已经有13人回复
固体紫外(DRS)图谱尾峰向上飘
已经有6人回复
能不能用VARIAN CARY 50 UV-vis 分光光度计测漫反射吸收光谱
已经有9人回复
纳米银做uv-vis,在445nm出现吸收峰····请问···
已经有7人回复
【求助】UV-vis光谱分析时试样的制备?
已经有13人回复
【求助】多晶硅的反射谱或吸收谱,及其机理解释
已经有9人回复
【交流】有关漫反射谱图测量的问题
已经有6人回复
【求助】关于TD-DFT模拟Uv-Vis光谱的问题
已经有45人回复

2楼2015-06-25 15:20:38
杜小笨
木虫 (小有名气)
- 应助: 0 (幼儿园)
- 金币: 2839.1
- 散金: 86
- 红花: 2
- 帖子: 205
- 在线: 219.5小时
- 虫号: 2053056
- 注册: 2012-10-10
- 性别: MM
- 专业: 无机纳米化学

3楼2018-04-17 20:59:19
小鱼儿YJY
新虫 (初入文坛)
- 应助: 0 (幼儿园)
- 金币: 49.1
- 散金: 20
- 帖子: 38
- 在线: 6.3小时
- 虫号: 3706789
- 注册: 2015-03-03
- 性别: MM
- 专业: 化学反应工程
4楼2019-07-31 20:06:16












回复此楼