| 查看: 1791 | 回复: 0 | ||
[求助]
动力学模型参数求解?
|
|
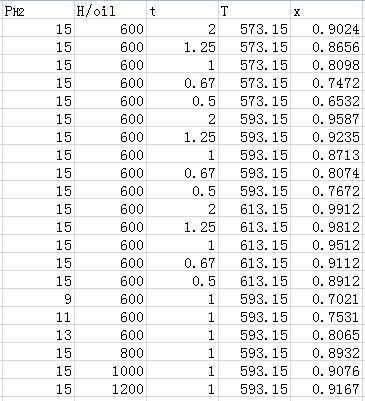
动力学方程如下图,需要求的模型参数有n,k0,E,α,β,γ,其中R=8.314,Cs0=0.02,其中n是大于1的,。数据如下图 如果用1stopt模拟的话,代码该如何写,如果用matlab来模拟,代码又该怎么写呢?请各位能给予援手!!! 1.jpg 1.jpg |
» 猜你喜欢
【复旦大学】二维材料方向招收2026年博士研究生1名
已经有0人回复
北京纳米能源与系统研究所 王中林院士/曹南颖研究员课题组2026级硕/博/博后招生
已经有10人回复
物理学I论文润色/翻译怎么收费?
已经有228人回复
荷兰Utrecht University超快太赫兹光谱王海教授课题招收2026 CSC博士生
已经有23人回复
反铁磁体中的磁性切换:两种不同的机制已成功可视化
已经有0人回复
求标准粉末衍射卡号 ICDD 01-076-1802
已经有0人回复
新西兰Robinson研究所招收全奖PhD
已经有0人回复
石墨烯转移--二氧化硅衬底石墨烯
已经有0人回复
找到一些相关的精华帖子,希望有用哦~
matlab动力学模型编程求助
已经有6人回复
求大神帮忙拟合一个非线性方程,求出模型参数
已经有15人回复
拜求!matlab拟合动力学参数
已经有14人回复
热分析动力学疑问
已经有13人回复
吸附等温线参数求解(Langmuir和Freundlich通用模型)
已经有7人回复
使用lsqnonlin函数优化动力学参数,总是得不到合理的结果
已经有6人回复
关于matlab的参数估计
已经有15人回复
如何拟合得到动力学模型参数??
已经有3人回复
吸附动力学机制模型
已经有10人回复
SCR反应动力学方程求解的问题
已经有4人回复
动力学参数拟合
已经有26人回复
matlab 拟合反应动力学参数结果很差。大家帮忙看一下
已经有14人回复
车辆动力学模型的解法
已经有14人回复
集总动力学模型计算
已经有8人回复
非线性拟合估计方程参数(matlab,spss,origin都可以)
已经有4人回复
关于反应动力学产物浓度的测定
已经有16人回复
请教分子力学与分子动力学的区别
已经有14人回复
科研从小木虫开始,人人为我,我为人人













回复此楼
点击这里搜索更多相关资源