²é¿´: 955  |  »Ø¸´: 4

chenjingzhi

½ð³æ (СÓÐÃûÆø)

[ÇóÖú] ¹ØÓÚÕýѹÁ¦µÄÇó½âµÄʵÏÖÎÊÌâ ÒÑÓÐ1È˲ÎÓë

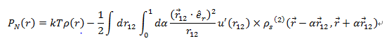
¹ØÓÚÕýѹÁ¦µÄ¼ÆË㣬һ°ãµÄ±í´ïʽÈçͼËùʾ£¬ÄÇôÈçºÎ½«ÕâÖÖÇó½âʹÓüÆËã»úʵÏÖÄØ£¬ÎÒÃÇÊDz»ÊÇÐèÒª½«Ìåϵ»®·ÖΪÐí¶à¸öslab£¬È»ºó¼ÆËãÿһ¸öslabÄÚ²¿µÄÕýѹÁ¦£¿¼±ÇÐÐèÒªÖªµÀ£¬Ï£ÍûÄܹ»Ö¸µãÒ»¶þ

¹ØÓÚÕýѹÁ¦µÄÇó½âµÄʵÏÖÎÊÌâ
²¶»ñ.PNG
»Ø¸´´ËÂ¥

» ²ÂÄãϲ»¶

» ±¾Ö÷ÌâÏà¹Ø¼ÛÖµÌùÍÆ¼ö£¬¶ÔÄúͬÑùÓаïÖú:

ÒÑÔÄ   »Ø¸´´ËÂ¥   ¹Ø×¢TA ¸øTA·¢ÏûÏ¢ ËÍTAºì»¨ TAµÄ»ØÌû

lsloneil

ר¼Ò¹ËÎÊ (ÕýʽдÊÖ)

Ó¦¸ÃÊÇÏñÄã˵µÄÄÇÑùËã¡£ÄãÄܽ²Ò»ÏÂʽ×ÓÖи÷ÏîµÄº¬ÒåÒÔ¼°Ê½×ӵijö´¦Âð£¿
2Â¥2014-04-14 03:23:15
ÒÑÔÄ   »Ø¸´´ËÂ¥   ¹Ø×¢TA ¸øTA·¢ÏûÏ¢ ËÍTAºì»¨ TAµÄ»ØÌû

chenjingzhi

½ð³æ (СÓÐÃûÆø)

ÒýÓûØÌû:
2Â¥: Originally posted by lsloneil at 2014-04-14 03:23:15
Ó¦¸ÃÊÇÏñÄã˵µÄÄÇÑùËã¡£ÄãÄܽ²Ò»ÏÂʽ×ÓÖи÷ÏîµÄº¬ÒåÒÔ¼°Ê½×ӵijö´¦Âð£¿

Õâ¸öʽ×ӺܶàÏà¹ØµÄÂÛÎÄÀï¶¼Óе쬵ÚÒ»ÏîÊÇÀíÏëÆøÌåÏµÚ¶þÏîÊÇ·ÇÀíÏëÆøÌåÏҲ¾ÍÊÇÁ½ÌåÏ໥×÷Óã¬ÎÒÏÖÔÚµÄÒÉÎÊÊÇÔÚËãÿһ¸öslabÀïµÄѹÁ¦Ê±£¬Ðè²»ÐèÒªÆäËûslabÀïÃæµÄÁ£×Ó¶ÔËùÒªËãµÄÕâ¸öslabÀïÃæµÄÁ£×ÓµÄ×÷ÓÃ
3Â¥2014-04-14 08:10:37
ÒÑÔÄ   »Ø¸´´ËÂ¥   ¹Ø×¢TA ¸øTA·¢ÏûÏ¢ ËÍTAºì»¨ TAµÄ»ØÌû

lsloneil

ר¼Ò¹ËÎÊ (ÕýʽдÊÖ)

¡¾´ð°¸¡¿Ó¦Öú»ØÌû

¡ï ¡ï ¡ï ¡ï ¡ï ¡ï ¡ï ¡ï ¡ï ¡ï
¸Ðл²ÎÓ룬ӦÖúÖ¸Êý +1
chenjingzhi: ½ð±Ò+5, ¡ï¡ï¡ïºÜÓаïÖú 2014-04-14 22:18:46
ÔÂÖ»À¶: ½ð±Ò+5, ¸Ðлָµ¼£¡ 2014-04-15 18:39:27
ÄÚÈÝÒÑɾ³ý
4Â¥2014-04-14 12:14:45
ÒÑÔÄ   »Ø¸´´ËÂ¥   ¹Ø×¢TA ¸øTA·¢ÏûÏ¢ ËÍTAºì»¨ TAµÄ»ØÌû

chenjingzhi

½ð³æ (СÓÐÃûÆø)

ÒýÓûØÌû:
4Â¥: Originally posted by lsloneil at 2014-04-14 12:14:45
ºÇºÇ£¬ÄãÕâ¸öʽ×Ó²¢²»ÊǺܳ£¼û£¬Ò»°ã²»×ö½çÃæÐÔÖÊ·ÖÎöµÄÈË¿ÖÅÂÓò»µ½£¬ÎÒÒ²ÊǸոշ­Molecular Theory of Capillarity Õâ±¾Êé²Å²éµ½Õâ¸öʽ×ӵģ¨ÄãͼƬÀïµÄʽ×ÓÓиötypo£¬×îºóÒ»ÏîÓ¦¸ÃÊÇ{\rho^{(2)}_s(r-\alpha r_{ ...

Õâ¸ö¹«Ê½µÄÈ·³ö×ÔKirkwoodµÄÂÛÎÄ£¬Æäʵ°´ÕÕѹÁ¦µÄÎïÀíÒâÒåȷʵӦ¸ÃÊǼÆËãËùÓд©¹ýËùÇó½çÃæµÄÁ£×Ó¶ÔµÄÏ໥×÷ÓÃÔÚij¸ö·½ÏòÉϵķÖÁ¿£¬Ö»ÊDZȽϺÄʱ¶øÒÑ£¬·Ç³£¸ÐлÄãÏêϸµÄ»Ø´ð£¬ÊÜÒæÁ¼¶à¡£
5Â¥2014-04-14 22:18:36
ÒÑÔÄ   »Ø¸´´ËÂ¥   ¹Ø×¢TA ¸øTA·¢ÏûÏ¢ ËÍTAºì»¨ TAµÄ»ØÌû
Ïà¹Ø°æ¿éÌø×ª ÎÒÒª¶©ÔÄÂ¥Ö÷ chenjingzhi µÄÖ÷Ìâ¸üÐÂ
×î¾ßÈËÆøÈÈÌûÍÆ¼ö [²é¿´È«²¿] ×÷Õß »Ø/¿´ ×îºó·¢±í
[¿¼ÑÐ] Ò»Ö¾Ô¸¹þ¹¤´ó£¬085400£¬320£¬Çóµ÷¼Á +3 gdlf9999 2026-03-24 3/150 2026-03-24 10:08 by ²«»÷518
[¿¼ÑÐ] ×ÊÔ´Óë»·¾³ µ÷¼ÁÉêÇë(333·Ö) +6 holy J 2026-03-21 6/300 2026-03-24 09:51 by hengsmith
[¿¼ÑÐ] 341Çóµ÷¼Á(Ò»Ö¾Ô¸ºþÄÏ´óѧ070300) +5 ·¬ÇÑÍ·--- 2026-03-22 6/300 2026-03-23 23:45 by Txy@872106
[¿¼ÑÐ] 284Çóµ÷¼Á +3 yanzhixue111 2026-03-23 6/300 2026-03-23 22:58 by pswait
[¿¼ÑÐ] ÉúÎïѧһ־Ը985£¬·ÖÊý349Çóµ÷¼Á +6 zxts12 2026-03-21 9/450 2026-03-23 18:37 by macy2011
[¿¼ÑÐ] Ò»Ö¾Ô¸ÖйúʯÓÍ´óѧ£¨»ª¶«£© ±¾¿ÆÆë³¹¤Òµ´óѧ +4 ʯÄÜΰ 2026-03-17 4/200 2026-03-23 17:51 by 17862566385
[ÂÛÎÄͶ¸å] ¼±·¢ºËÐÄÆÚ¿¯ÂÛÎÄ +3 ÏÍ´ïÎʽò 2026-03-23 5/250 2026-03-23 17:13 by ÃÃ×Ó²»ºÃÈÇ
[¿¼ÑÐ] 350Çóµ÷¼Á +6 weudhdk 2026-03-19 6/300 2026-03-23 15:47 by tangyuan0840221
[¿¼ÑÐ] 307Çóµ÷¼Á +3 ÓàÒâÇä 2026-03-21 3/150 2026-03-23 10:32 by Iveryant
[¿¼ÑÐ] ÉúÎïѧ071000 329·ÖÇóµ÷¼Á +5 ÎÒ°®ÉúÎïÉúÎﰮΠ2026-03-17 5/250 2026-03-22 16:42 by tcx007
[¿¼ÑÐ] 311Çóµ÷¼Á +3 26ÑÐ0 2026-03-20 3/150 2026-03-22 14:46 by ColorlessPI
[¿¼ÑÐ] Ò»Ö¾Ô¸ÄÏ´ó£¬0703»¯Ñ§£¬·ÖÊý336£¬Çóµ÷¼Á +3 ÊÕµ½VS 2026-03-21 3/150 2026-03-21 18:42 by ѧԱ8dgXkO
[¿¼ÑÐ] 311Çóµ÷¼Á +3 Ó¸ҵÄСÎâ 2026-03-20 3/150 2026-03-21 17:40 by ColorlessPI
[¿¼ÑÐ] ²ÄÁÏ 271Çóµ÷¼Á +5 Õ¹ÐÅÔÃ_ 2026-03-21 5/250 2026-03-21 17:29 by ѧԱ8dgXkO
[¿¼ÑÐ] Çóµ÷¼Á +3 °×QF 2026-03-21 3/150 2026-03-21 13:12 by zhukairuo
[¿¼ÑÐ] ²ÄÁÏѧѧ˶080502 337Çóµ÷¼Á-Ò»Ö¾Ô¸»ªÖпƼ¼´óѧ +4 ˳˳˳mr 2026-03-18 5/250 2026-03-21 10:22 by luoyongfeng
[¿¼ÑÐ] ³õʼ318·ÖÇóµ÷¼Á£¨Óй¤×÷¾­Ñ飩 +3 1911236844 2026-03-17 3/150 2026-03-21 02:33 by JourneyLucky
[¿¼ÑÐ] Ò»Ö¾Ô¸ Î÷±±´óѧ £¬070300»¯Ñ§Ñ§Ë¶£¬×Ü·Ö287£¬Ë«·ÇÒ»±¾£¬Çóµ÷¼Á¡£ +3 ³¿»èÏßÓëÐǺ£ 2026-03-18 3/150 2026-03-21 00:46 by JourneyLucky
[¿¼ÑÐ] Ò»Ö¾Ô¸ÖØÇì´óѧ085700×ÊÔ´Óë»·¾³×¨Ë¶£¬×Ü·Ö308Çóµ÷¼Á +3 īīĮ 2026-03-18 3/150 2026-03-21 00:39 by JourneyLucky
[¿¼ÑÐ] 295²ÄÁÏÇóµ÷¼Á£¬Ò»Ö¾Ô¸Î人Àí¹¤085601ר˶ +5 Charlieyq 2026-03-19 5/250 2026-03-20 20:35 by JourneyLucky
ÐÅÏ¢Ìáʾ
ÇëÌî´¦ÀíÒâ¼û