Znn3bq.jpeg
±±¾©Ê¯ÓÍ»¯¹¤Ñ§Ôº2026ÄêÑо¿ÉúÕÐÉú½ÓÊÕµ÷¼Á¹«¸æ
²é¿´: 2412  |  »Ø¸´: 0

20080908

½ð³æ (СÓÐÃûÆø)

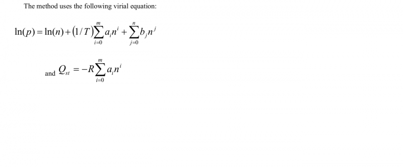
[ÇóÖú] Îü¸½ìʵļÆËã

ÀûÓÃÏÂÃæµÄ¹«Ê½¼ÆËãÎü¸½ìÊ£¬¿ÉÊÇÓÃorigin²»ÄÜʵÏִ˹«Ê½µÄ·ÇÏßÐÔÄâºÏ£¬ÓÐûÓÐÈË×ö¹ýÕâÒ»¹«Ê½µÄ¼ÆË㣬ÇóÖ¸µ¼£¬Ð»Ð»£¡
Îü¸½ìʵļÆËã

[ Last edited by sddtc888 on 2014-3-24 at 19:51 ]
»Ø¸´´ËÂ¥
ÒÑÔÄ   »Ø¸´´ËÂ¥   ¹Ø×¢TA ¸øTA·¢ÏûÏ¢ ËÍTAºì»¨ TAµÄ»ØÌû

ÖÇÄÜ»úÆ÷ÈË

Robot (super robot)

ÎÒÃǶ¼°®Ð¡Ä¾³æ

ÕÒµ½Ò»Ð©Ïà¹ØµÄ¾«»ªÌû×Ó£¬Ï£ÍûÓÐÓÃŶ~

¿ÆÑдÓСľ³æ¿ªÊ¼£¬ÈËÈËΪÎÒ£¬ÎÒΪÈËÈË
Ïà¹Ø°æ¿éÌø×ª ÎÒÒª¶©ÔÄÂ¥Ö÷ 20080908 µÄÖ÷Ìâ¸üÐÂ
×î¾ßÈËÆøÈÈÌûÍÆ¼ö [²é¿´È«²¿] ×÷Õß »Ø/¿´ ×îºó·¢±í
[¿¼ÑÐ] 0703»¯Ñ§ +27 ÄÝÄÝninicgb 2026-04-04 30/1500 2026-04-08 15:18 by audery861007
[¿¼ÑÐ] 302·ÖÇóµ÷¼Á +3 ·²ÓïÆíÔ¸ 2026-04-08 4/200 2026-04-08 14:24 by zhq0425
[¿¼ÑÐ] 265Çóµ÷¼Á +19 Сľ³æ085600 2026-04-06 21/1050 2026-04-08 10:38 by ÄæË®³Ë·ç
[¿¼ÑÐ] ±¾¿ÆÖ£ÖÝ´óѧ£¬Ò»Ö¾Ô¸»ª¶«Ê¦·¶´óѧ282Çóµ÷¼Á +21 Ðܸçxtk 2026-04-07 24/1200 2026-04-08 09:48 by 123¿¼ÑÐ123
[¿¼ÑÐ] ÉúÎïѧ308·ÖÇóµ÷¼Á£¨Ò»Ö¾Ô¸»ª¶«Ê¦´ó£©×ö¹ý·Ö×ÓʵÑé +5 ÏàÐűػá¹ââÍòÕ 2026-04-07 6/300 2026-04-08 00:19 by JourneyLucky
[¿¼ÑÐ] 085602µ÷¼Á ³õÊÔ×Ü·Ö335 +3 19123253302 2026-04-06 3/150 2026-04-07 18:00 by jp9609
[¿¼ÑÐ] Ò»Ö¾Ô¸ÉϺ£º£Ñó´óѧ083200ʳƷѧ˶£¬Çóµ÷¼Á£¬½ÓÊÜÆäËûרҵ +9 whatÕÅ 2026-04-01 11/550 2026-04-07 09:45 by momoð©
[¿¼ÑÐ] 334·Ö¿ØÖƹ¤³ÌÇóµ÷¼Á +4 ½ªÉÐÕæsadasd 2026-04-03 4/200 2026-04-07 09:26 by À¶ÔÆË¼Óê
[¿¼ÑÐ] ¿¼Ñе÷¼Á +7 15615482637 2026-04-04 7/350 2026-04-06 22:56 by chenzhimin
[¿¼ÑÐ] µÚÒ»Ö¾Ô¸¶«ÄÏ´óѧÎïÀí313£¬ÓпÆÑоºÈü»ñ½±¾­Àú£¬Ï£ÍûÎïÀí¸´ÊÔµ÷¼Á +3 ÂíÄÚ³È 2026-04-05 3/150 2026-04-06 10:32 by À¶ÔÆË¼Óê
[¿¼ÑÐ] »¯Ñ§357·Ö£¬¿¼Ñе÷¼Á +11 .Starry. 2026-04-04 12/600 2026-04-06 06:28 by houyaoxu
[¿¼ÑÐ] Ò»Ö¾Ô¸±±½»´ó²ÄÁϹ¤³Ì×Ü·Ö358Çóµ÷¼Á +6 cs0106 2026-04-05 6/300 2026-04-05 16:34 by imissbao
[¿¼ÑÐ] Ò»Ö¾Ô¸½­ÄÏ´óѧ085501»úе¹¤³Ìר˶326·Ö£¬±¾¿Æ¼Ñľ˹´óѧ +5 ¹ËÈô¸¡Éú 2026-04-03 9/450 2026-04-05 09:57 by 1753564080
[¿¼ÑÐ] ²ÄÁϵ÷¼Á +12 Ò»ÑùYWY 2026-04-04 12/600 2026-04-05 08:24 by 544594351
[¿¼ÑÐ] 11408,335·Ö£¬±¾¿Æ211£¬Çóµ÷¼Á£¬¿Éתרҵ +5 öùÀæ´óöùÓã 2026-04-03 5/250 2026-04-04 22:49 by chongya
[¿¼ÑÐ] 316Çóµ÷¼Á +9 Ä«³½_Orion926 2026-04-04 9/450 2026-04-04 21:35 by lbsjt
[¿¼ÑÐ] 293Çóµ÷¼Á +5 ĩδmm 2026-04-02 6/300 2026-04-03 15:20 by Íõ±£½Ü33
[¿¼ÑÐ] 315·Ö 085602 Çóµ÷¼Á +15 26¿¼ÑÐÉϰ¶°æ26 2026-04-02 15/750 2026-04-03 12:45 by xingguangj
[¿¼ÑÐ] 330Çóµ÷¼Á +3 °×ÉñÎØºôºô 2026-04-02 3/150 2026-04-03 10:15 by À¶ÔÆË¼Óê
[¿¼ÑÐ] ר˶ 351 086100 Ò²ÊÇ¿¼µÄ²Ä¿Æ»ù ±¾¿ÆÒ²ÊDzÄÁÏ +8 202451007219 2026-04-02 8/400 2026-04-03 09:50 by À¶ÔÆË¼Óê
ÐÅÏ¢Ìáʾ
ÇëÌî´¦ÀíÒâ¼û