| 查看: 1674 | 回复: 6 | ||
wz9533木虫 (正式写手)
|
[求助]
能量方程用温度计算还是焓计算?
|
|
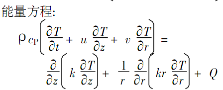
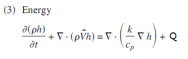
同样的问题,同样都是计算能量方程,但不同的文献所写的能量方程却不同 文献中的定压比热和焓值都是随温度而不断变化的, 第一种以焓为计算对象,而第二种以温度为计算对象。 那么是否两种都正确呢? 我看FLUENT帮助中两种方式都提到过,那么FLUENT计算的那种呢? |
» 猜你喜欢
081700,311,求调剂
已经有15人回复
一志愿北京化工085600 310分求调剂
已经有18人回复
085600材料与化工301分求调剂院校
已经有4人回复
材料与化工371求调剂
已经有14人回复
336材料与化工085600求调剂
已经有7人回复
材料334求调剂
已经有18人回复
331求调剂
已经有8人回复
332求调剂
已经有17人回复
一志愿南京航空航天大学 材料与化工329分求调剂
已经有4人回复
材料专硕322
已经有7人回复
» 本主题相关价值贴推荐,对您同样有帮助:
低碳钢的热焓值
已经有13人回复
DSC测试时能测不同温度时的热焓值吗?
已经有6人回复
求大哥解答,,液体的摩尔汽化焓随温度升高为什么减小啊?
已经有8人回复
不同温度,同一个反应,焓变相同吗?
已经有25人回复
急!不同温度下碳酸电离平衡常数怎么求?
已经有18人回复
关于不同温度下反应热的计算求解
已经有3人回复
中国石油大学,华东的
已经有15人回复
关于焓变、吸放热、物理化学吸附、熵增的疑问
已经有20人回复
利用声子谱准确地计算气固反应的焓变及熵变
已经有4人回复
有关焓和温度的关系
已经有6人回复
MS能否计算温度超过1000K的热力学数据如焓、熵
已经有7人回复
闭式冷却塔热力计算的问题
已经有12人回复
考研求助 急!标准焓与标准熵
已经有9人回复
两道关于气体的计算题,求指点
已经有8人回复
请教分子力学与分子动力学的区别
已经有14人回复
不同压强不同温度下水与饱和蒸汽的焓值曲线
已经有8人回复
【求助】注册化工工程师的报考条件,报考时间以及考试科目都是什么?
已经有26人回复
【求助】求助或讨论一下关于能量传递源项中各个焓值的含义
已经有3人回复
注册化工工程师
已经有10人回复
![]() 顶 |
2楼2013-04-17 09:14:16
wz9533
木虫 (正式写手)
- 应助: 13 (小学生)
- 金币: 2309.9
- 红花: 2
- 帖子: 305
- 在线: 78.9小时
- 虫号: 1839316
- 注册: 2012-05-29
- 专业: 内流流体力学
3楼2013-04-18 11:53:44
![]() |
4楼2013-04-19 14:31:31
![]() |
5楼2013-04-20 12:49:37
longma135
金虫 (小有名气)
- 应助: 5 (幼儿园)
- 金币: 1186.6
- 散金: 15
- 帖子: 199
- 在线: 207小时
- 虫号: 2533271
- 注册: 2013-07-05
- 性别: GG
- 专业: 能源化工
6楼2013-12-06 19:19:36
longma135
金虫 (小有名气)
- 应助: 5 (幼儿园)
- 金币: 1186.6
- 散金: 15
- 帖子: 199
- 在线: 207小时
- 虫号: 2533271
- 注册: 2013-07-05
- 性别: GG
- 专业: 能源化工
7楼2013-12-06 19:23:03














回复此楼


