±±¾©Ê¯ÓÍ»¯¹¤Ñ§Ôº2026ÄêÑо¿ÉúÕÐÉú½ÓÊÕµ÷¼Á¹«¸æ
²é¿´: 295  |  »Ø¸´: 1

xsqanhui

Í­³æ (ÕýʽдÊÖ)

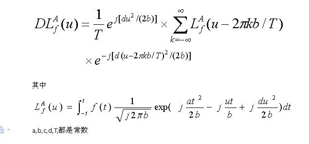
[ÇóÖú] Çó°ïæдÏÂÏÂÃæÕâ¸ö¹«Ê½µÄmatlab´úÂ룬лл¡£¡£¡£

Çó°ïæдÏÂÏÂÃæÕâ¸ö¹«Ê½µÄmatlab´úÂ룬лл¡£¡£¡£

Çó°ïæдÏÂÏÂÃæÕâ¸ö¹«Ê½µÄmatlab´úÂ룬лл¡£¡£¡£
2.png
»Ø¸´´ËÂ¥

» ²ÂÄãϲ»¶

» ±¾Ö÷ÌâÏà¹Ø¼ÛÖµÌùÍÆ¼ö£¬¶ÔÄúͬÑùÓаïÖú:

ÒÑÔÄ   »Ø¸´´ËÂ¥   ¹Ø×¢TA ¸øTA·¢ÏûÏ¢ ËÍTAºì»¨ TAµÄ»ØÌû

xsqanhui

Í­³æ (ÕýʽдÊÖ)

ÐÂÊÖ£¬½ð±Ò²»¶à£¬ÓÐûÓдóÉñ°ïÏÂæ°¡
2Â¥2014-03-21 15:37:39
ÒÑÔÄ   »Ø¸´´ËÂ¥   ¹Ø×¢TA ¸øTA·¢ÏûÏ¢ ËÍTAºì»¨ TAµÄ»ØÌû
Ïà¹Ø°æ¿éÌø×ª ÎÒÒª¶©ÔÄÂ¥Ö÷ xsqanhui µÄÖ÷Ìâ¸üÐÂ
×î¾ßÈËÆøÈÈÌûÍÆ¼ö [²é¿´È«²¿] ×÷Õß »Ø/¿´ ×îºó·¢±í
[¿¼ÑÐ] 085602 »¯¹¤×¨Ë¶ 338·Ö Çóµ÷¼Á +8 ·³ÕСç÷ 2026-03-27 8/400 2026-03-27 16:50 by lenovolsw
[¿¼ÑÐ] 274Çóµ÷¼Á +17 ¹Ë¾ÅóÏҪǫÐé 2026-03-24 23/1150 2026-03-27 15:16 by caszguilin
[²ÄÁϹ¤³Ì] Ò»Ö¾Ô¸C9²ÄÁÏÓ뻯¹¤×¨Òµ×Ü·Ö300Çóµ÷¼Á +7 Âü111 2026-03-24 8/400 2026-03-27 13:53 by ÑîÑîÑî×Ï
[¿¼ÑÐ] Ò»Ö¾Ô¸Ö£´ó085600£¬310·ÖÇóµ÷¼Á +5 Àîäì¿É 2026-03-26 5/250 2026-03-27 11:14 by ²»³Ôô~µÄ؈
[¿¼ÑÐ] 286Çóµ÷¼Á +4 lim0922 2026-03-26 4/200 2026-03-27 10:28 by guoweigw
[¿¼ÑÐ] Ò»Ö¾Ô¸ÉÂʦ´óÉúÎïѧ071000£¬298·Ö£¬Çóµ÷¼Á +5 SYA£¡ 2026-03-23 5/250 2026-03-27 09:29 by ²»³Ôô~µÄ؈
[¿¼ÑÐ] Çóµ÷¼Á£¬Ò»Ö¾Ô¸ ÄϾ©º½¿Õº½Ìì´óѧ´óѧ £¬080500²ÄÁÏ¿ÆÑ§Ó빤³Ìѧ˶ +4 @taotao 2026-03-26 5/250 2026-03-27 08:10 by hypershenger
[¿¼ÑÐ] 321Çóµ÷¼Á +6 wasdssaa 2026-03-26 6/300 2026-03-26 20:57 by sanrepian
[¿¼ÑÐ] 324Çóµ÷¼Á +4 wysyjs25 2026-03-21 4/200 2026-03-26 20:38 by fmesaito
[¿¼ÑÐ] 291 Çóµ÷¼Á +7 »¯¹¤2026½ì±ÏÒµÉ 2026-03-21 8/400 2026-03-26 11:25 by AlenQIN.
[¿¼ÑÐ] Ò»Ö¾Ô¸ÉϺ£½»´óÉúÎïÓëҽҩר˶324·Ö£¬Çóµ÷¼Á +6 jiajunX 2026-03-22 6/300 2026-03-25 23:05 by licg0208
[¿¼ÑÐ] 0854AI CV·½ÏòÕÐÊÕµ÷¼Á +4 ÕÂСÓã567 2026-03-23 4/200 2026-03-25 17:04 by CoderLoser
[¿¼ÑÐ] 0854µç×ÓÐÅÏ¢Çóµ÷¼Á 324 +4 Promise-jyl 2026-03-23 4/200 2026-03-25 11:36 by Sugarlight
[¿¼ÑÐ] 0703»¯Ñ§Çóµ÷¼Á +6 ÄÌÓͲÝÝ®. 2026-03-22 7/350 2026-03-25 10:00 by shangxh
[¿¼ÑÐ] 340Çóµ÷¼Á +5 »°Ã·ÌÇ111 2026-03-24 5/250 2026-03-25 06:53 by ilovexiaobin
[¿¼ÑÐ] 291Çóµ÷¼Á +3 HanBeiNingZC 2026-03-24 3/150 2026-03-24 16:34 by barlinike
[¿¼ÑÐ] Ò»Ö¾Ô¸¼ª´ó»¯Ñ§322Çóµ÷¼Á +4 17501029541 2026-03-23 6/300 2026-03-24 10:21 by ´÷Χ²±µÄСÎÃ×Ó
[¿¼ÑÐ] 384Çóµ÷¼Á +3 ×Óϵ²© 2026-03-22 6/300 2026-03-23 21:45 by ×Óϵ²©
[¿¼ÑÐ] Ò»Ö¾Ô¸¶«»ª´óѧ»¯Ñ§070300£¬Çóµ÷¼Á +7 2117205181 2026-03-21 8/400 2026-03-22 22:55 by chixmc
[¿¼ÑÐ] Ò»Ö¾Ô¸»ªÖпƼ¼´óѧ071000£¬Çóµ÷¼Á +4 ÑØ°¶Óб´¿Ç6 2026-03-21 4/200 2026-03-22 07:21 by ilovexiaobin
ÐÅÏ¢Ìáʾ
ÇëÌî´¦ÀíÒâ¼û