| 查看: 1101 | 回复: 7 | |
pottery金虫 (正式写手)
|
[求助]
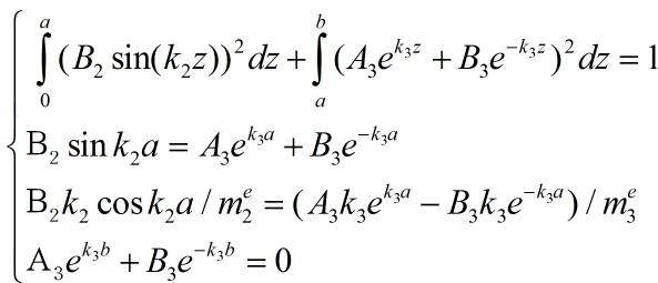
符号方程组 4个方程 3个参数 求哥哥姐姐帮忙看一下哈 急~已有2人参与
|
![]() |
|
|
|
|
mshwangg至尊木虫 (正式写手)
|
|
|
2楼2014-03-18 12:04:58
|
|
pottery金虫 (正式写手)
|
|
![]() |
|
|
3楼2014-03-18 13:37:20
|
|
mshwangg至尊木虫 (正式写手)
|
|
|
4楼2014-03-18 23:46:18
|
|
mshwangg至尊木虫 (正式写手)
|
|
|
5楼2014-03-18 23:50:32
|
|
pottery金虫 (正式写手)
|
|
![]() |
|
|
6楼2014-03-20 11:44:23
|
|
mshwangg至尊木虫 (正式写手)
|
|
|
7楼2014-03-21 18:45:02
|
|
xmjiao木虫 (正式写手)
|
|
![]() |
|
|
8楼2014-04-13 21:16:18
|
|














回复此楼

