| 查看: 1192 | 回复: 0 | |
qianbianzhu新虫 (小有名气)
|
[求助]
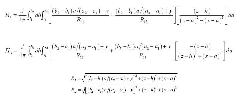
如何计算这个二重积分(有图有程序)
|
|
|
|
|
找到一些相关的精华帖子,希望有用哦~
科研从小木虫开始,人人为我,我为人人
|













回复此楼
点击这里搜索更多相关资源