版块导航
正在加载中...
客户端APP下载
论文辅导
申博辅导
登录
注册
帖子
帖子
用户
本版
应《网络安全法》要求,自2017年10月1日起,未进行实名认证将不得使用互联网跟帖服务。为保障您的帐号能够正常使用,请尽快对帐号进行手机号验证,感谢您的理解与支持!
24小时热门版块排行榜
>
论坛更新日志
(3329)
>
文献求助
(291)
>
导师招生
(267)
>
虫友互识
(236)
>
硕博家园
(157)
>
博后之家
(97)
>
招聘信息布告栏
(90)
>
休闲灌水
(58)
>
考博
(57)
>
考研
(54)
>
基金申请
(53)
>
论文投稿
(50)
>
教师之家
(40)
>
绿色求助(高悬赏)
(36)
>
公派出国
(35)
>
找工作
(22)
小木虫论坛-学术科研互动平台
»
计算模拟区
»
计算模拟
»
一个三元的非线性方程组,怎么获得解析解,可能吗?
2
1/1
返回列表
查看: 1091 | 回复: 1
只看楼主
@他人
存档
新回复提醒
(忽略)
收藏
在APP中查看
nieqian1230
铁虫
(初入文坛)
应助: 0
(幼儿园)
金币: 8
帖子: 1
在线: 51分钟
虫号: 2999426
注册: 2014-02-27
性别: GG
专业: 制造系统与自动化
[
求助
]
一个三元的非线性方程组,怎么获得解析解,可能吗?
已有1人参与
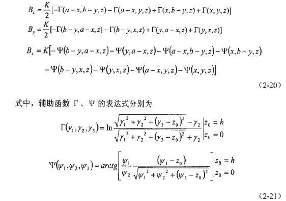
除x,y,z 是未知量,其他都是已知的, 怎么求x,y,z ? 本人用matlab可以求得数值解,所以最好能有解析解,例如X~(Bx,By,Bz,a,b,c,h), Y,Z坐标也表达成这样?求大神指导。
question.jpg
回复此楼
» 猜你喜欢
新西兰Robinson研究所招收全奖PhD
已经有0人回复
石墨烯转移--二氧化硅衬底石墨烯
已经有0人回复
物理学I论文润色/翻译怎么收费?
已经有275人回复
笼目材料中量子自旋液体基态的证据
已经有0人回复
数学教学论硕士可以读数学物理博士吗?
已经有0人回复
德国亥姆霍兹Hereon中心汉堡分部招镁合金腐蚀裂变SCC课题方向2026公派博士生
已经有4人回复
澳门大学 应用物理及材料工程研究院 潘晖教授课题组诚招博士后
已经有11人回复
求助NH4V4O10晶体的CIF文件
已经有0人回复
英国全奖博士招聘-深度学习与量子物理
已经有0人回复
间接带隙半导体有效质量求助
已经有1人回复
投稿chemical physical letters不送审?
已经有2人回复
» 本主题相关价值贴推荐,对您同样有帮助:
如何把一个方程的时域数值解变换到频域数值解?
已经有5人回复
数学小白求助,解超定非线性方程组,求大神帮忙
已经有4人回复
求助解复杂非线性方程组的好的方法
已经有24人回复
用matlab求解一个非线性方程组的解
已经有4人回复
用matlab解非线性方程组编程
已经有2人回复
用matlab求解非线性方程组说无解,一定是方程组本身无解,还是有可能程序有问题呢?
已经有11人回复
matlab如何求解一个非线性微分方程组
已经有8人回复
用fortran程序遗传算法解非线性方程组
已经有7人回复
这个方程组怎么解啊
已经有14人回复
matlab解非线性方程组解不开
已经有3人回复
请问这个4阶的非线性偏微分方程组在PDE中怎么解?等待高手解答。
已经有17人回复
Matlab:Newton-Raphson 解线非线性性方程组的问题
已经有12人回复
matlab求解非线性方程组,错误提示怎么解决
已经有5人回复
求助matlab---fsolve解非线性方程组
已经有6人回复
用不动点迭代求非线性方程组,求得的不是想要的解,怎么办
已经有12人回复
这样一个偏微分方程有没有解析解?
已经有4人回复
请问如何求解二元一阶微分方程组
已经有24人回复
求高人指点用matlab求解非线性方程组,解决了追加100金币;
已经有11人回复
【求助】用mathematica 5.0求解一个非线性方程组失败,特发帖求助!
已经有5人回复
【求助】请教非齐次常微分方程组的解析解法
已经有4人回复
【求助】常微分方程组的解析解
已经有3人回复
【求助】求教matlab解非线性方程组
已经有9人回复
开开心心做研究
1楼
2014-03-05 10:31:36
已阅
回复此楼
关注TA
给TA发消息
送TA红花
TA的回帖
月只蓝
主管区长
(职业作家)
专家经验: +1059
计算强帖: 8
应助: 1712
(讲师)
贵宾: 8.888
金币: 68123.7
散金: 1938
红花: 443
沙发: 4
帖子: 4373
在线: 3291.4小时
虫号: 1122189
注册: 2010-10-14
专业: 宇宙学
管辖:
计算模拟区
【答案】应助回帖
★
感谢参与,应助指数 +1
fegg7502: 金币+1, 3ks
2014-03-05 13:02:33
复杂的非线性方程组一般不存在解析解。
赞
一下
(2人)
回复此楼
MATLAB、MS小问题、普通问题请发帖求助!时间精力有限,恕不接受无偿私信求助。
2楼
2014-03-05 10:52:00
已阅
回复此楼
关注TA
给TA发消息
送TA红花
TA的回帖
相关版块跳转
第一性原理
量子化学
计算模拟
分子模拟
仿真模拟
程序语言
我要订阅楼主
nieqian1230
的主题更新
2
1/1
返回列表
如果回帖内容含有宣传信息,请如实选中。否则帐号将被全论坛禁言
普通表情
龙
兔
虎
猫
百度网盘
|
360云盘
|
千易网盘
|
华为网盘
在新窗口页面中打开自己喜欢的网盘网站,将文件上传后,然后将下载链接复制到帖子内容中就可以了。
信息提示
关闭
请填处理意见
关闭
确定