| ²é¿´: 1383 | »Ø¸´: 12 | ||||
winfred_zhouгæ (³õÈëÎÄ̳)
|
[ÇóÖú]
ÊýѧģÐÍÒ»Ö±³ö´í ÒÑÓÐ1È˲ÎÓë
|
|
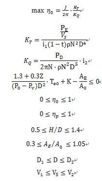
ÒòÂÛÎÄÐèÒª£¬ÎÒ½¨Á¢ÁËÂÝÐý½°ÓÅ»¯ÊýѧģÐÍ£¬µ«ÊÇÂÝÐý½°Ð§Âʾ¹È»¸úËٶȳÉÕýÏà¹Ø£¬Õâ²»¿ÆÑ§°¡£¬¸ÄÀ´¸ÄÈ¥£¬²éÊéÕÒÎÄÏ×£¬¶¼Ã»ÕÒµ½½â¾ö°ì·¨£¬»¹·¢ÏÖһƪÎÄÏ×ÀïÃæµÄ¹«Ê½ÊÇ×÷¼ÙµÄ¡£ÎÞÄÎÁË£¬Ç°À´ÇóÖú¡£max ¦Ç_0=J/2¦Ð∙K_T/K_Q K_T=(P_E/V_S )/(i_1 (1-t)¦ÑN^2 D^4 ) K_Q=P_D/(2¦ÐN∙¦ÑN^2 D^5 )∙i_2 (1.3+0.3Z)/((P_0-P_v)D^2 )∙T_e0+K-A_E/A_0 ¡Ü0 0¡Ü¦Ç_0¡Ü1 0¡Ü¦Ç_p¡Ü1 (0.5¡ÜH)⁄D¡Ü1.4 ¡¼0.3¡ÜA_E⁄A¡½_(0 )¡Ü1.05 D_1¡ÜD¡ÜD_2 V_1¡ÜV_S¡ÜV_2 Ö÷ÒªÊÇÄ¿±êº¯Êý»¯¼òÖ®ºó¾ÍÖ±½ÓºÍV_SÕýÏà¹Ø£¬ÕâÌ«²»¿¿Æ×Á˰¡¡£¡£¡£ |
» ²ÂÄãϲ»¶
Ò»Ö¾Ô¸ÄϾ©º½¿Õº½Ìì´óѧ ²ÄÁÏÓ뻯¹¤329·ÖÇóµ÷¼Á
ÒѾÓÐ8È˻ظ´
²ÄÁÏר˶283Çóµ÷¼Á
ÒѾÓÐ18È˻ظ´
301Çóµ÷¼Á
ÒѾÓÐ4È˻ظ´
286Çóµ÷¼Á
ÒѾÓÐ6È˻ظ´
297·Ö083200ÇóÖú
ÒѾÓÐ5È˻ظ´
281Çóµ÷¼Á
ÒѾÓÐ4È˻ظ´
0703µ÷¼Á£¬Ò»Ö¾Ô¸Ìì½ò´óѧ319·Ö
ÒѾÓÐ10È˻ظ´
085600²ÄÁÏÓ뻯¹¤301·ÖÇóµ÷¼ÁԺУ
ÒѾÓÐ11È˻ظ´
336²ÄÁÏÓ뻯¹¤085600Çóµ÷¼Á
ÒѾÓÐ9È˻ظ´
312Çóµ÷¼Á
ÒѾÓÐ9È˻ظ´
» ±¾Ö÷ÌâÏà¹Ø¼ÛÖµÌùÍÆ¼ö£¬¶ÔÄúͬÑùÓаïÖú:
¡¾¼¯Ë¼¹ãÒæ¡¿Ò»µÀ²»´íµÄÊýѧ½¨Ä£Ìâ
ÒѾÓÐ3È˻ظ´
¡¾Êýѧ½¨Ä£±Ø±¸¡¿Ê®´óÊýѧËã·¨£¬ÄãÏëÒªµÄ¶¼ÔÚÕâÀ£¡
ÒѾÓÐ278È˻ظ´
ÄâͶµÄÁ½ÆªÓ¢ÎÄÂÛÎÄ£¬±³¾°½éÉܺͻù´¡ÊýѧģÐͼ¸ºõÏàͬ£¬ÊÇ·ñ»áÓÐÎÊÌ⣿
ÒѾÓÐ9È˻ظ´
½¨ºÃÄ£ÐÍ£¬µÚ¶þ´Î´ò¿ª³ö´í£¬ÇóÖú
ÒѾÓÐ5È˻ظ´
Êýѧ½¨Ä£ÂÛÎÄ¡ª¡ªÈ˹¤ºþ¶Ô»·¾³Î¶ȵĵ÷½ÚÎÊÌâ
ÒѾÓÐ3È˻ظ´
Çë½ÌÊýѧ½¨Ä£--¹«Ê½ÍƵ¼ÎÊÌ⣬רҵÍâ³æ×ÓÇóÖú£¡£¡£¡£¡
ÒѾÓÐ5È˻ظ´
ÇóÊýѧ½¨Ä£AÌâ˼·¡£¸ÐлÁË¡£
ÒѾÓÐ12È˻ظ´
ÐÂÊÖÇóÖúË®ÖÊÄ£ÐÍÎÊÌâ
ÒѾÓÐ3È˻ظ´
ÈË¿ÚÎÊÌâ¼Æ»®ÉúÓýÊýѧ½¨Ä£MATLAB
ÒѾÓÐ3È˻ظ´
·ÂÕæËãÀýÖеı»¿Ø¶ÔÏóÊÇϵͳµÄÊýѧģÐÍÂð
ÒѾÓÐ11È˻ظ´
[Êé+³ÌÐò] Êýѧ½¨Ä£Ëã·¨ÓëÓ¦ÓÃ
ÒѾÓÐ182È˻ظ´
¹ØÓÚµ¥ÏîÊÜÈȹÜìÊ-ÎÂͨµÀµÄ¼¯×ܲÎÊý¶¯Ì¬ÊýѧģÐ͵ÄÎÊÌâ
ÒѾÓÐ15È˻ظ´
½ËÕÊ¡Êýѧ½¨Ä£Ò»µÈ½±ÂÛÎÄͶ¸å
ÒѾÓÐ10È˻ظ´
ÓйØÊýѧ½¨Ä£µÄÎÊÌâ
ÒѾÓÐ5È˻ظ´
Êýѧ½¨Ä£ÓÅÐã·¶ÎÄ
ÒѾÓÐ33È˻ظ´
¹âÏËÐŵÀµÄÊýѧģÐÍ
ÒѾÓÐ9È˻ظ´
ʵÑéÊý¾ÝµÄÊýѧģÐ͹¹½¨¡¢ÇúÏßÄâºÏ·½ÃæÎÊÌâÇóÖú
ÒѾÓÐ6È˻ظ´
¡¾ÇóÖú¡¿ÇóÖúoriginÊýѧģÐÍ
ÒѾÓÐ6È˻ظ´
¡¾ÇóÖú¡¿¡¾ÇóÖú¡¿Êýѧ½¨Ä£ÎÊÌ⣬¡¶Ê³ÌþͲÍÎÊÌâ¡·¡£¡£¡£¼±£¡£¡£¡£¡£¡
ÒѾÓÐ11È˻ظ´
originÈçºÎ×Ô¶¨ÒåÊýѧģÐÍ
ÒѾÓÐ17È˻ظ´
[b]¹ØÓÚÄÐÉú×·Å®ÉúµÄÊýѧģÐÍ[/b]
ÒѾÓÐ17È˻ظ´
feixiaolin
ÈÙÓþ°æÖ÷ (ÎÄ̳¾«Ó¢)
-

ר¼Ò¾Ñé: +518 - Ó¦Öú: 942 (²©ºó)
- ¹ó±ö: 1.275
- ½ð±Ò: 3880
- É¢½ð: 58785
- ºì»¨: 532
- ɳ·¢: 11
- Ìû×Ó: 24215
- ÔÚÏß: 2601.8Сʱ
- ³æºÅ: 2139575
- ×¢²á: 2012-11-21
- רҵ: ¹âѧÐÅÏ¢»ñÈ¡Óë´¦Àí
- ¹ÜϽ: Êýѧ
2Â¥2014-02-26 11:36:45
winfred_zhou
гæ (³õÈëÎÄ̳)
- Ó¦Öú: 0 (Ó×¶ùÔ°)
- ½ð±Ò: 2627.5
- Ìû×Ó: 30
- ÔÚÏß: 15.1Сʱ
- ³æºÅ: 2181555
- ×¢²á: 2012-12-12
- רҵ: Áã¼þ³ÉÐÎÖÆÔì
3Â¥2014-02-26 14:45:36
feixiaolin
ÈÙÓþ°æÖ÷ (ÎÄ̳¾«Ó¢)
-

ר¼Ò¾Ñé: +518 - Ó¦Öú: 942 (²©ºó)
- ¹ó±ö: 1.275
- ½ð±Ò: 3880
- É¢½ð: 58785
- ºì»¨: 532
- ɳ·¢: 11
- Ìû×Ó: 24215
- ÔÚÏß: 2601.8Сʱ
- ³æºÅ: 2139575
- ×¢²á: 2012-11-21
- רҵ: ¹âѧÐÅÏ¢»ñÈ¡Óë´¦Àí
- ¹ÜϽ: Êýѧ
¡¾´ð°¸¡¿Ó¦Öú»ØÌû
¸Ðл²ÎÓ룬ӦÖúÖ¸Êý +1
|
»¹ÊÇÓвÎÊýδÓõ½£¬»ò²»Ã÷È·¡£ ÏÂÃæÊÇ 1stop´úÂ룬Äã×Ô¼ºÔÙÐÐÕû¸Ä ------------------------------------------------------- Parameters D[0.3, 2.4], vs[0, 60] , aea[0.3, 1.05] , np[0, 1]; Constant K=0; // 0.1, 0.2 Constant r=1025; Constant N=1.7; Constant i1=1, i2=1; Constant pd=35896.6, p0= 181660; ConstStr Te=pe/np/0.5144/vs, Tc=2.314*pe/vs; ConstStr kt=pe/vs/(i1*(1-t)*r*N^2*D^4); ConstStr kq=pd*i2/(2*pi*N* r*N^2*D^5); ConstStr J=0.0638797*vs/D; ConstStr f0=J/2/pi/kq*kt; MinFunction f0; 0<=f0; (1.3+0.3*z)/(p0-pd)/D^2*Te+K-aea<=0; // aea = ae/a0 0<=fp<=1; 0.5<= H/D<=1.4; |
4Â¥2014-02-27 10:02:28
winfred_zhou
гæ (³õÈëÎÄ̳)
- Ó¦Öú: 0 (Ó×¶ùÔ°)
- ½ð±Ò: 2627.5
- Ìû×Ó: 30
- ÔÚÏß: 15.1Сʱ
- ³æºÅ: 2181555
- ×¢²á: 2012-12-12
- רҵ: Áã¼þ³ÉÐÎÖÆÔì
5Â¥2014-03-04 15:25:47
feixiaolin
ÈÙÓþ°æÖ÷ (ÎÄ̳¾«Ó¢)
-

ר¼Ò¾Ñé: +518 - Ó¦Öú: 942 (²©ºó)
- ¹ó±ö: 1.275
- ½ð±Ò: 3880
- É¢½ð: 58785
- ºì»¨: 532
- ɳ·¢: 11
- Ìû×Ó: 24215
- ÔÚÏß: 2601.8Сʱ
- ³æºÅ: 2139575
- ×¢²á: 2012-11-21
- רҵ: ¹âѧÐÅÏ¢»ñÈ¡Óë´¦Àí
- ¹ÜϽ: Êýѧ
6Â¥2014-03-04 15:35:10
winfred_zhou
гæ (³õÈëÎÄ̳)
- Ó¦Öú: 0 (Ó×¶ùÔ°)
- ½ð±Ò: 2627.5
- Ìû×Ó: 30
- ÔÚÏß: 15.1Сʱ
- ³æºÅ: 2181555
- ×¢²á: 2012-12-12
- רҵ: Áã¼þ³ÉÐÎÖÆÔì
7Â¥2014-03-05 10:57:48
feixiaolin
ÈÙÓþ°æÖ÷ (ÎÄ̳¾«Ó¢)
-

ר¼Ò¾Ñé: +518 - Ó¦Öú: 942 (²©ºó)
- ¹ó±ö: 1.275
- ½ð±Ò: 3880
- É¢½ð: 58785
- ºì»¨: 532
- ɳ·¢: 11
- Ìû×Ó: 24215
- ÔÚÏß: 2601.8Сʱ
- ³æºÅ: 2139575
- ×¢²á: 2012-11-21
- רҵ: ¹âѧÐÅÏ¢»ñÈ¡Óë´¦Àí
- ¹ÜϽ: Êýѧ
8Â¥2014-03-05 11:07:50
winfred_zhou
гæ (³õÈëÎÄ̳)
- Ó¦Öú: 0 (Ó×¶ùÔ°)
- ½ð±Ò: 2627.5
- Ìû×Ó: 30
- ÔÚÏß: 15.1Сʱ
- ³æºÅ: 2181555
- ×¢²á: 2012-12-12
- רҵ: Áã¼þ³ÉÐÎÖÆÔì
9Â¥2014-03-05 20:46:37
feixiaolin
ÈÙÓþ°æÖ÷ (ÎÄ̳¾«Ó¢)
-

ר¼Ò¾Ñé: +518 - Ó¦Öú: 942 (²©ºó)
- ¹ó±ö: 1.275
- ½ð±Ò: 3880
- É¢½ð: 58785
- ºì»¨: 532
- ɳ·¢: 11
- Ìû×Ó: 24215
- ÔÚÏß: 2601.8Сʱ
- ³æºÅ: 2139575
- ×¢²á: 2012-11-21
- רҵ: ¹âѧÐÅÏ¢»ñÈ¡Óë´¦Àí
- ¹ÜϽ: Êýѧ
10Â¥2014-03-05 23:28:15














»Ø¸´´ËÂ¥
