Znn3bq.jpeg
²é¿´: 1412  |  »Ø¸´: 9

a6535228

гæ (СÓÐÃûÆø)


[½»Á÷] ½âÌâÇóÖú£ºÕâ¸öϵͳÊÇÏßÐÔµÄÂð£¿ÊÇÒÆ²»±äµÄÂð£¿ÎªÊ²Ã´£¿

¶Ôijһϵͳ£¬Õâ¸öϵͳÊÇÏßÐÔµÄÂð£¿ÊÇÒÆ²»±äµÄÂð£¿ÎªÊ²Ã´£¿
»Ø¸´´ËÂ¥

» ²ÂÄãϲ»¶

» ±¾Ö÷ÌâÏà¹Ø¼ÛÖµÌùÍÆ¼ö£¬¶ÔÄúͬÑùÓаïÖú:

» ÇÀ½ð±ÒÀ²£¡»ØÌû¾Í¿ÉÒԵõ½:

²é¿´È«²¿É¢½ðÌù

ÒÑÔÄ   »Ø¸´´ËÂ¥   ¹Ø×¢TA ¸øTA·¢ÏûÏ¢ ËÍTAºì»¨ TAµÄ»ØÌû

a6535228

гæ (СÓÐÃûÆø)


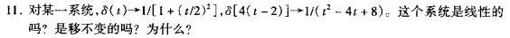
Ò»¸öϵͳ£¬ÊäÈë¦Ä£¨t£©£¬Êä³ö1/[1+(t/2)^2]£¬ÊäÈë¦Ä[4(t-2)]£¬Êä³ö1/(t^2-4t+8).Õâ¸öϵͳÊÇÏßÐÔµÄÂð£¿ÊÇÒÆ²»±äµÄÂð£¿ÎªÊ²Ã´£¿
2Â¥2014-02-11 21:21:06
ÒÑÔÄ   »Ø¸´´ËÂ¥   ¹Ø×¢TA ¸øTA·¢ÏûÏ¢ ËÍTAºì»¨ TAµÄ»ØÌû

sunyuanxin

½û³æ (ÖøÃûдÊÖ)

±¾ÌûÄÚÈݱ»ÆÁ±Î

3Â¥2014-02-12 13:05:06
ÒÑÔÄ   »Ø¸´´ËÂ¥   ¹Ø×¢TA ¸øTA·¢ÏûÏ¢ ËÍTAºì»¨ TAµÄ»ØÌû

·ç¾²Ñ©Àä

½ð³æ (ÕýʽдÊÖ)


¡ï ¡ï
Сľ³æ: ½ð±Ò+0.5, ¸ø¸öºì°ü£¬Ð»Ð»»ØÌû
a6535228: ½ð±Ò+1 2014-03-04 17:20:31
ÌâÄ¿ÊDz»ÊǶàÁ˸ö·ÖºÅ°¡£¬ÓÃͼƬ°É£¬ÕâÑù²»ÄÜ¿´Ã÷°×£¬³õ²½Ë¼Ï룬¼ÙÉèΪLTIϵͳ£¬Ó¦Âú×ã ¦Ò(t)¡úh(t) Ôò¦Ò[4(t-2)]=1/4 ¦Ò(t-2)¡ú1/4h(t-2)¡£

[ ·¢×ÔСľ³æ¿Í»§¶Ë ]
4Â¥2014-02-19 19:44:49
ÒÑÔÄ   »Ø¸´´ËÂ¥   ¹Ø×¢TA ¸øTA·¢ÏûÏ¢ ËÍTAºì»¨ TAµÄ»ØÌû

a6535228

гæ (СÓÐÃûÆø)


ÒýÓûØÌû:
3Â¥: Originally posted by sunyuanxin at 2014-02-12 13:05:06
ÓÃmathtype´ò³öÀ´¿ÉÒÔ²»£¿ÕâÑùÍêÈ«¾Í²»ÄÜ¿´Âï¡£

¸ÃÌâµÄ½ØÍ¼£¬ÎÒͨ¹ý¸½¼þÉÏ´«¡£Äܲ»ÄÜ¿´µ½£¿
½âÌâÇóÖú£ºÕâ¸öϵͳÊÇÏßÐÔµÄÂð£¿ÊÇÒÆ²»±äµÄÂð£¿ÎªÊ²Ã´£¿
½ØÍ¼Î´ÃüÃû1.jpg

5Â¥2014-02-24 08:46:25
ÒÑÔÄ   »Ø¸´´ËÂ¥   ¹Ø×¢TA ¸øTA·¢ÏûÏ¢ ËÍTAºì»¨ TAµÄ»ØÌû

a6535228

гæ (СÓÐÃûÆø)


ÒýÓûØÌû:
4Â¥: Originally posted by ·ç¾²Ñ©Àä at 2014-02-19 19:44:49
ÌâÄ¿ÊDz»ÊǶàÁ˸ö·ÖºÅ°¡£¬ÓÃͼƬ°É£¬ÕâÑù²»ÄÜ¿´Ã÷°×£¬³õ²½Ë¼Ï룬¼ÙÉèΪLTIϵͳ£¬Ó¦Âú×ã ¦Ò(t)¡úh(t) Ôò¦Ò=1/4 ¦Ò(t-2)¡ú1/4h(t-2)¡£

¾ÍÊÇÕâ¸öÌâÀ²~
½âÌâÇóÖú£ºÕâ¸öϵͳÊÇÏßÐÔµÄÂð£¿ÊÇÒÆ²»±äµÄÂð£¿ÎªÊ²Ã´£¿-1
½ØÍ¼Î´ÃüÃû1.jpg

6Â¥2014-02-24 08:47:21
ÒÑÔÄ   »Ø¸´´ËÂ¥   ¹Ø×¢TA ¸øTA·¢ÏûÏ¢ ËÍTAºì»¨ TAµÄ»ØÌû

sunyuanxin

½û³æ (ÖøÃûдÊÖ)

¡ï ¡ï
Сľ³æ: ½ð±Ò+0.5, ¸ø¸öºì°ü£¬Ð»Ð»»ØÌû
a6535228: ½ð±Ò+1 2014-03-04 17:19:57
±¾ÌûÄÚÈݱ»ÆÁ±Î

7Â¥2014-02-24 13:09:30
ÒÑÔÄ   »Ø¸´´ËÂ¥   ¹Ø×¢TA ¸øTA·¢ÏûÏ¢ ËÍTAºì»¨ TAµÄ»ØÌû

a6535228

гæ (СÓÐÃûÆø)


ÒýÓûØÌû:
7Â¥: Originally posted by sunyuanxin at 2014-02-24 13:09:30
¿´Í¼°É£¬Õâ¸öϵͳÊÇ·Çʱ±äµÄ¡£

prob.JPG
...

ÄãµÄ×ö·¨:½á¹û²»ÏàµÈ£¬ËµÃ÷ϵͳÊÇʱ±äµÄà¶£¬¶Ô°É£¿
ÄãµÄ×ö·¨ÊDz»ÊÇûÓп¼Âǵ½ÏßÐԵķÖÎöÄØ£¿

ʱ²»±äÐÔ£ºÈôx(t)¡úy(t),Ôòx(t-T)¡úy(t-T)¡£
ÎÒÊÇС°×£¬¿É·ñ´ÓÕâ¸ö½Ç¶È·ÖÎö¸ÃϵͳÊÇÒÆ²»±äµÄÂð£¿
ÁíÍ⣬ÇëÄã·ÖÎöһЩ¸ÃϵͳÊÇ·ñÊÇÏßÐÔµÄÄØ£¿

Çó½â´ð£¡
8Â¥2014-03-04 19:37:56
ÒÑÔÄ   »Ø¸´´ËÂ¥   ¹Ø×¢TA ¸øTA·¢ÏûÏ¢ ËÍTAºì»¨ TAµÄ»ØÌû

a6535228

гæ (СÓÐÃûÆø)


ÒýÓûØÌû:
4Â¥: Originally posted by ·ç¾²Ñ©Àä at 2014-02-19 19:44:49
ÌâÄ¿ÊDz»ÊǶàÁ˸ö·ÖºÅ°¡£¬ÓÃͼƬ°É£¬ÕâÑù²»ÄÜ¿´Ã÷°×£¬³õ²½Ë¼Ï룬¼ÙÉèΪLTIϵͳ£¬Ó¦Âú×ã ¦Ò(t)¡úh(t) Ôò¦Ò=1/4 ¦Ò(t-2)¡ú1/4h(t-2)¡£

¦Ò[4(t-2)]=1/4 ¦Ò(t-2)£¬ÕâÀïÀûÓó߶ȱ任ÐÔÖÊÂð£¿Õâô×ö¶ÔÂð£¿

Èç¹ûÕâô×öÊǶԵģ¬ÄÇôͨ¹ý³ß¶È±ä»»£¬µÃ֪ϵͳÊÇÏßÐԵġ£Ö®ºóÔÙ¼ì²éʱ²»±äÐÔ¡£
9Â¥2014-03-04 19:41:40
ÒÑÔÄ   »Ø¸´´ËÂ¥   ¹Ø×¢TA ¸øTA·¢ÏûÏ¢ ËÍTAºì»¨ TAµÄ»ØÌû

sunyuanxin

½û³æ (ÖøÃûдÊÖ)

¡ï
Сľ³æ: ½ð±Ò+0.5, ¸ø¸öºì°ü£¬Ð»Ð»»ØÌû
±¾ÌûÄÚÈݱ»ÆÁ±Î

10Â¥2014-03-10 15:54:17
ÒÑÔÄ   »Ø¸´´ËÂ¥   ¹Ø×¢TA ¸øTA·¢ÏûÏ¢ ËÍTAºì»¨ TAµÄ»ØÌû
Ïà¹Ø°æ¿éÌø×ª ÎÒÒª¶©ÔÄÂ¥Ö÷ a6535228 µÄÖ÷Ìâ¸üÐÂ
×î¾ßÈËÆøÈÈÌûÍÆ¼ö [²é¿´È«²¿] ×÷Õß »Ø/¿´ ×îºó·¢±í
[¿¼ÑÐ] ¸´ÊÔµ÷¼Á +13 »ý¼«ÏòÉÏ£» 2026-04-10 15/750 2026-04-12 18:32 by zhaokeyang
[¿¼ÑÐ] ±¾¿ÆÄÏ·½Ò½¿Æ´óѧ Ò»Ö¾Ô¸985 ҩѧѧ˶284·Ö Çóµ÷¼Á +5 ÈõË®ÌýÎÄ 2026-04-09 5/250 2026-04-12 13:16 by shengxi123
[¿¼ÑÐ] 11408¡£358Çóµ÷¼Á +3 TMYzds 2026-04-07 3/150 2026-04-11 17:10 by µªÆøÆøÆø
[¿¼ÑÐ] µ÷¼Á +5 ÎĵÀÐÇ̨ 2026-04-11 5/250 2026-04-11 15:01 by ¿­¿­Òª±ä˧
[¿¼ÑÐ] Çóµ÷¼Á +10 Á§ÜÔÒ»¶¨Éϰ¶ 2026-04-10 10/500 2026-04-11 13:31 by 1005715100
[¿¼ÑÐ] 080100Á¦Ñ§316Çóµ÷¼Á +8 L_Hairui 2026-04-07 8/400 2026-04-11 10:00 by zhq0425
[¿¼ÑÐ] Ò»Ö¾Ô¸211£¬»¯Ñ§Ñ§Ë¶£¬310·Ö£¬±¾¿ÆÖصãË«·Ç£¬Çóµ÷¼Á +17 ŬÁ¦·Ü¶·112 2026-04-06 20/1000 2026-04-11 00:31 by wangjihu
[¿¼ÑÐ] Ò»Ö¾Ô¸±±Àí¹¤298Ó¢Ò»Êý¶þÒÑÉϰ¶£¬¸Ðл¸÷λÀÏʦ +14 Reframe 2026-04-10 16/800 2026-04-10 23:07 by caotw2020
[¿¼ÑÐ] 309Çóµ÷¼Á +14 wdhw 2026-04-10 15/750 2026-04-10 21:06 by zhouxiaoyu
[¿¼ÑÐ] 263ÄÜÔ´¶¯Á¦×¨Ë¶Çóµ÷¼Á +4 ¼Ó´óºÅ·¹ºÐ´ü 2026-04-10 4/200 2026-04-10 20:52 by gong120082
[¿¼ÑÐ] 266Çóµ÷¼Á +29 ÑôÑôÍÛÈû 2026-04-07 29/1450 2026-04-10 16:20 by ¸ßά´º
[¿¼ÑÐ] 085800 ÄÜÔ´¶¯Á¦Çóµ÷¼Á +6 °¢biu°¡°¡°¡°¡°¡ 2026-04-10 6/300 2026-04-10 15:03 by hemengdong
[¿¼ÑÐ] Ò»Ö¾Ô¸Öйú¿ÆÑ§ÔºÉϺ£ÓлúËù£¬Óлú»¯Ñ§356·ÖÕÒµ÷¼Á +11 Nadiums 2026-04-09 11/550 2026-04-09 18:04 by lijunpoly
[¿¼ÑÐ] ÉúÎïѧ308·ÖÇóµ÷¼Á£¨Ò»Ö¾Ô¸»ª¶«Ê¦´ó£© +13 ÏàÐűػá¹ââÍòÕ 2026-04-06 16/800 2026-04-09 13:54 by ÐìÁ¼°×ü´óÏÀ
[¿¼ÑÐ] ²ÄÁÏ307·ÖÇó´óÀÐ×éÊÕÁô +17 Hllºú 2026-04-07 17/850 2026-04-09 10:53 by liuhuiying09
[¿¼ÑÐ] ²ÄÁÏÓ뻯¹¤×¨Ë¶306·ÖÕÒºÏÊʵ÷¼Á +27 ²×º£ÇáÖÛe 2026-04-06 28/1400 2026-04-08 22:06 by wdyheheeh
[¿¼ÑÐ] Ò»Ö¾Ô¸¼ª´ó»¯Ñ§327Çóµ÷¼Á +12 ÍõÍõ°×ʯ 2026-04-06 13/650 2026-04-08 16:05 by luoyongfeng
[¿¼ÑÐ] Ò»Ö¾Ô¸211£¬»¯Ñ§Ñ§Ë¶£¬310·Ö£¬±¾¿ÆÖصãË«·Ç£¬Çóµ÷¼Á +10 ŬÁ¦·Ü¶·112 2026-04-07 10/500 2026-04-08 15:01 by screening
[¿¼ÑÐ] µ÷¼ÁÇóÖú£¨ÉúÎïÓëÒ½Ò©£© +6 @6952 2026-04-06 6/300 2026-04-07 23:52 by lys0704
[¿¼ÑÐ] 313Çóµ÷¼Á +3 Ê®Áùʰ½ 2026-04-07 3/150 2026-04-07 23:20 by lbsjt
ÐÅÏ¢Ìáʾ
ÇëÌî´¦ÀíÒâ¼û