版块导航
正在加载中...
客户端APP下载
论文辅导
申博辅导
登录
注册
帖子
帖子
用户
本版
应《网络安全法》要求,自2017年10月1日起,未进行实名认证将不得使用互联网跟帖服务。为保障您的帐号能够正常使用,请尽快对帐号进行手机号验证,感谢您的理解与支持!
24小时热门版块排行榜
>
论坛更新日志
(386)
>
虫友互识
(38)
>
考博
(15)
>
论文道贺祈福
(9)
>
导师招生
(8)
>
公派出国
(4)
>
基金申请
(3)
>
标准求助
(2)
>
招聘信息布告栏
(2)
>
标准与专利
(2)
>
文献求助
(2)
>
论文投稿
(2)
>
休闲灌水
(2)
>
博后之家
(1)
>
有机资源
(1)
>
高分子
(1)
小木虫论坛-学术科研互动平台
»
计算模拟区
»
量子化学
»
Gaussian
»
请问如何回答评审人的问题?
5
1/1
返回列表
查看: 840 | 回复: 4
只看楼主
@他人
存档
新回复提醒
(忽略)
收藏
在APP中查看
lorna639
木虫
(著名写手)
应助: 1
(幼儿园)
金币: 6496.9
帖子: 1728
在线: 598.9小时
虫号: 130824
[交流]
请问如何回答评审人的问题?
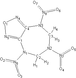
最近投了一篇稿件,现在要求修改,其中有这样一个问题,我想请教各位。在附图中,理论上C4-N3和N1-C1两个键断裂所需要的键离解能是一样的,但是为什么用密度泛函计算发现,两者的键离解能有微小的差别,原因是什么?对于C3-N2和C2-N2也存在相同的问题,请各位帮忙!
1.gif
回复此楼
» 猜你喜欢
中国水产科学研究院黄海水产研究所博士后科研工作站2026年博士后招收公告
已经有0人回复
大连海事大学国家级人才团队2026年博士研究生招生启事(氢能)
已经有10人回复
物理化学论文润色/翻译怎么收费?
已经有286人回复
国家级人才课题组招收2026年入学博士
已经有6人回复
意大利米兰理工大学急聘CSC公派留学博士生(物理或无机材料科学方向)
已经有47人回复
求加氢处理工艺与工程(第二版)pdf 李大东 中国石化出版社 9787511436689
已经有0人回复
新加坡ASTAR招收CSC或学校资助联培博士生/访问学生
已经有2人回复
求助Amsterdam Density Functional
已经有3人回复
武汉纺织大学全国重点实验室陈嵘教授团队招收2026级学术/专业型硕士研究生
已经有0人回复
国家级人才课题组招收2026年入学博士
已经有1人回复
高级回复
» 本主题相关价值贴推荐,对您同样有帮助:
这样的评语我该如何回答?
已经有7人回复
这个……怎么回答?
已经有3人回复
审稿人的意见都需要修改吗
已经有3人回复
不知道如何回答评审专家的问题
已经有16人回复
请问CSC的评审专家都是哪里来的人?
已经有10人回复
关于回复评审人意见,急!!!!!。
已经有27人回复
请问编辑回复中要求<Please write down your comments>是什么意思?
已经有11人回复
Review在某一个问题上只是给我提问,没有给建议,回复的时候该怎么开头?
已经有7人回复
请问:硕士研究生评定职称问题!
已经有10人回复
一般第三个审稿人仲裁评审需要多长时间?
已经有12人回复
electron. lett. 在线投稿中的问题
已经有8人回复
评审人回复的意见,请大家帮忙看下这个要怎么改?
已经有3人回复
请问下主编这么回复是什么意思?
已经有30人回复
所有reviewer都同意接收后,主编会不会再加评审人?
已经有11人回复
论文评审退修,审稿人提了九条意见,不知道该怎么办?
已经有7人回复
如何回答评委的问题
已经有7人回复
请问老外提出的这个修改意见该如何回答?
已经有11人回复
评审意见如何回复
已经有12人回复
急求:投稿审查要求修改英语语法,如何回复啊?
已经有20人回复
» 抢金币啦!回帖就可以得到:
查看全部散金贴
中国石油大学(华东)吴传德教授团队(国家杰青)2026硕、博招生
+
2
/224
华南师范大学(211)- 光电科学与工程学院 - 申请审核制(2026年4-5月份面试考核)
+
2
/132
供应爱德华RV 3、RV 12,阿特拉斯及莱宝真空品牌油泵及分子泵等真空产品15216851283
+
1
/84
黄汉民团队联合淮北师范大学招聘师资博士后(年薪30-40万)
+
1
/83
欢迎报考南京农业大学植物环境适应课题组课题组2026级博士生。
+
1
/77
中国科学院深圳先进技术研究院——招聘博士后
+
3
/71
坐标浙江宁波,诚征女友
+
1
/62
山东征女友,坐标济南
+
1
/61
湘潭大学“过程强化与绿色化工”创新团队补招2026年秋入学博士生
+
2
/40
深圳大学信息功能电子材料方向“申请-考核制”博士生招生
+
2
/20
化学行业,研发出创新的东西是做成项目给公司吃提成,还是自己搞小作坊倒卖?
+
1
/13
中南林业科技大学生物质绿色转化与功能材料课题组2026年博士招生
+
1
/12
意大利华人老师University of Padova-全额奖学金博士
+
1
/9
招收中国CSC或学校资助联培博士生/访问学生-- Tsinghua-A*STAR 2025 Joint Funding
+
1
/8
江汉大学轩亮教授课题组招博士研究生/博士后
+
1
/6
广东工业大学马琳教授课题组招收2026年博士(材料物理与化学、光学专业)
+
1
/6
【科研助理招聘-北京理工大学-集成电路与电子学院-国家杰青团队】
+
1
/5
太原理工大学集成电路学院院长团队招收2026年博士研究生
+
1
/5
考博求助
+
1
/4
广东省智能院与澳门大学/澳门理工联培博士招生
+
1
/2
1楼
2014-01-21 11:02:03
已阅
关注TA
给TA发消息
送TA红花
TA的回帖
绍敏郡主
木虫
(著名写手)
应助: 289
(大学生)
金币: 1251.1
帖子: 1575
在线: 1866.7小时
虫号: 2611526
★
小木虫: 金币+0.5, 给个红包,谢谢回帖
分子两边是完全对称的吗,如果对称的话怎么会不一样呢
赞
一下
回复此楼
2楼
2014-01-21 13:52:00
已阅
关注TA
给TA发消息
送TA红花
TA的回帖
ptf6
木虫
(小有名气)
应助: 1
(幼儿园)
金币: 2206.3
帖子: 190
在线: 173.3小时
虫号: 1623595
★
小木虫: 金币+0.5, 给个红包,谢谢回帖
同样是C4-N3断裂,你算两次看看结果是否完全一致,用同样的方法和基组,如果不一样,有细微差别,那么你懂得
赞
一下
回复此楼
3楼
2014-01-21 17:57:20
已阅
关注TA
给TA发消息
送TA红花
TA的回帖
virtualzx
木虫
(著名写手)
QC强帖: 2
应助: 263
(大学生)
金币: 7161.3
帖子: 1605
在线: 317.6小时
虫号: 2069080
★
小木虫: 金币+0.5, 给个红包,谢谢回帖
你的平衡结构是否对称,断裂后的结构是否优化得到一样的结构,是否收敛
赞
一下
回复此楼
4楼
2014-01-22 00:12:59
已阅
关注TA
给TA发消息
送TA红花
TA的回帖
mlanqiang
木虫之王
(文学泰斗)
应助: 3409
(副教授)
金币: 55278.8
帖子: 73916
在线: 730.8小时
虫号: 302202
blessing
回复此楼
5楼
2014-01-22 08:19:38
已阅
关注TA
给TA发消息
送TA红花
TA的回帖
相关版块跳转
第一性原理
量子化学
计算模拟
分子模拟
仿真模拟
程序语言
我要订阅楼主
lorna639
的主题更新
5
1/1
返回列表
信息提示
关闭
请填处理意见
关闭
确定