| ²é¿´: 609 | »Ø¸´: 6 | |||
vivianchaoгæ (СÓÐÃûÆø)
|
[ÇóÖú]
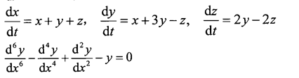
³£Î¢·ÖÁ½µÀ ÒÑÓÐ2È˲ÎÓë
|
||
|
|
|||
feixiaolinÈÙÓþ°æÖ÷ (ÎÄ̳¾«Ó¢)
|
|||
|
2Â¥2014-01-15 17:01:56
|
|
||
vivianchaoгæ (СÓÐÃûÆø)
|
|||
|
3Â¥2014-01-15 17:04:20
|
|
||
feixiaolinÈÙÓþ°æÖ÷ (ÎÄ̳¾«Ó¢)
|
|||
|
4Â¥2014-01-15 17:27:23
|
|
||
peterflyer
|
¡¾´ð°¸¡¿Ó¦Öú»ØÌû
¸Ðл²ÎÓ룬ӦÖúÖ¸Êý +1
|
||
|
5Â¥2014-01-15 20:32:03
|
|
||
peterflyer
|
|||
|
6Â¥2014-01-15 20:37:21
|
|
||
zsm28Ìú³æ (³õÈëÎÄ̳)
|
¡¾´ð°¸¡¿Ó¦Öú»ØÌû
¡ï
¸Ðл²ÎÓ룬ӦÖúÖ¸Êý +1 vivianchao(feixiaolin´ú·¢): ½ð±Ò+1 2014-01-17 17:53:29
|
||
|
7Â¥2014-01-16 03:07:59
|
|













»Ø¸´´ËÂ¥

40