| ²é¿´: 1123 | »Ø¸´: 3 | |||
²ÔÓêÒø³æ (ÕýʽдÊÖ)
|
[ÇóÖú]
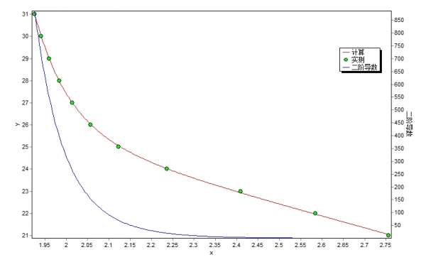
ÇóÖú¸ÃͼÐÎÓÃʲôº¯ÊýÇúÏßÄâºÏ£¬
|
|
Èç¹ûÊǶàÏîʽ£¬×î¸ß´ÎÊǼ¸´Î£¬Èç¹ûÓñðµÄº¯ÊýÈçÖ¸Êýº¯ÊýÓÖÓ¦¸ÃÑù£¬¸½Í¼¡£ÇóÖ¸µ¼°¡ ÈçºÎÇóбÂʱ仯×î´óµÄµãÒ²¾ÍÊǶþ½×µ¼ÊýÖµ×î´óµÄµã¡£ 360½ØÍ¼20131130223339864.jpg |
» ±¾Ìû¸½¼þ×ÊÔ´Áбí
-
»¶Ó¼à¶½ºÍ·´À¡£ºÐ¡Ä¾³æ½öÌṩ½»Á÷ƽ̨£¬²»¶Ô¸ÃÄÚÈݸºÔð¡£
±¾ÄÚÈÝÓÉÓû§×ÔÖ÷·¢²¼£¬Èç¹ûÆäÄÚÈÝÉæ¼°µ½ÖªÊ¶²úȨÎÊÌ⣬ÆäÔðÈÎÔÚÓÚÓû§±¾ÈË£¬Èç¶Ô°æÈ¨ÓÐÒìÒ飬ÇëÁªÏµÓÊÏ䣺xiaomuchong@tal.com - ¸½¼þ 1 : н¨_Microsoft_Excel_¹¤×÷±í_(2).xls
2013-11-30 22:37:09, 7.5 K
» ²ÂÄãϲ»¶
Ò»Ö¾Ô¸±±½»´ó²ÄÁϹ¤³Ì×Ü·Ö358Çóµ÷¼Á
ÒѾÓÐ8È˻ظ´
ר˶304ÕÒµ÷¼Á£¬Ò»Ïß³ÇÊÐ×îºÃ
ÒѾÓÐ3È˻ظ´
Ò»Ö¾Ô¸ÄϺ½£¬ÊýһӢһѧ˶317Çóµ÷¼Á£¡£¡
ÒѾÓÐ6È˻ظ´
295Çóµ÷¼Á
ÒѾÓÐ12È˻ظ´
285Çóµ÷¼Á
ÒѾÓÐ10È˻ظ´
²ÄÁÏÇóµ÷¼Á
ÒѾÓÐ12È˻ظ´
0703»¯Ñ§µ÷¼Á325·Ö
ÒѾÓÐ13È˻ظ´
08600ÉúÎïÓëÒ½Ò©-327
ÒѾÓÐ8È˻ظ´
µ÷¼Á
ÒѾÓÐ10È˻ظ´
085600²ÄÁÏÓ뻯¹¤301·ÖÇóµ÷¼ÁԺУ
ÒѾÓÐ15È˻ظ´
» ±¾Ö÷ÌâÏà¹Ø¼ÛÖµÌùÍÆ¼ö£¬¶ÔÄúͬÑùÓаïÖú:
Çë½Ì´óÉñÃÇ£¬ÈçºÎÇóÕâ¸öº¯ÊýµÄ·´º¯Êý£¿
ÒѾÓÐ4È˻ظ´
ÔÚÓÃorigin½øÐзÇÏßÐÔÄâºÏÔõÑùȥѡÔñÄâºÏº¯Êý£¿
ÒѾÓÐ6È˻ظ´
ÇóÖúÒ»¸öÂ߼˹µÙº¯ÊýµÄÄâºÏ
ÒѾÓÐ8È˻ظ´
ÇóÖúoriginalÇúÏßÄâºÏ¡£
ÒѾÓÐ6È˻ظ´
ÓÃmatlabÀïµÄnlinfitÈçºÎÄâºÏ·Ö¶Îº¯Êý
ÒѾÓÐ8È˻ظ´
ÔõôÓÃoriginÈí¼þ¶ÔÒ»¸öº¯ÊýÖ±ÏߣºY=A+BX½øÐÐÖ¸ÊýÇúÏßÄâºÏ
ÒѾÓÐ4È˻ظ´
ÇóÖú´óÉñÈçºÎµÃµ½ÕâÒ»ÌØÊâË¥¼õͼÐεĺ¯Êý¹ØÏµ
ÒѾÓÐ3È˻ظ´
Çómatlab»Ò»¸öº¯ÊýµÄͼ
ÒѾÓÐ6È˻ظ´
sÄâºÏÇúÏßÇóÖú
ÒѾÓÐ10È˻ظ´
³Ï¿ÒÇóÖúÈçºÎ×öIC50ÄâºÏÇúÏß
ÒѾÓÐ7È˻ظ´
originÄâºÏÇóÖú
ÒѾÓÐ6È˻ظ´
matlab×öº¯ÊýͼÏóµÄÎÊÌâ
ÒѾÓÐ6È˻ظ´
¡¾»æÍ¼¡¿ÇóÖúÇúÏßÄâºÏ¹«Ê½
ÒѾÓÐ4È˻ظ´
¡¾ÇóÖú¡¿ÇóÖúÒ»¸öÈý½Çº¯ÊýµÄÍÆµ¼¹ý³Ì£¬Ð»Ð»£¡
ÒѾÓÐ3È˻ظ´
¡¾ÇóÖú¡¿ÈçºÎͬʱÄâºÏÁ½ÌõÇúÏß»òÕßÁ½¸öº¯Êý£¡¡¾Òѽâ¾ö¡¿
ÒѾÓÐ7È˻ظ´
¡¾ÇóÖú¡¿¶þÔªº¯ÊýÄâºÏ
ÒѾÓÐ12È˻ظ´
Ͷ¸åÓöµ½À§ÄÑ£¡ÏßÐÔÄâºÏ£¡Ò»Í¼ÖжàÌõÄâºÏÇúÏß
ÒѾÓÐ17È˻ظ´
¡¾ÇóÖú¡¿Ö»ÖªµÀÓÐÏÞ¸öº¯ÊýÖµÇó»ý·Ö
ÒѾÓÐ10È˻ظ´
dingd
Ìú¸Ëľ³æ (Ö°Òµ×÷¼Ò)
- Ó¦Öú: 1641 (½²Ê¦)
- ½ð±Ò: 15037.3
- É¢½ð: 101
- ºì»¨: 234
- Ìû×Ó: 3410
- ÔÚÏß: 1223.7Сʱ
- ³æºÅ: 291104
- ×¢²á: 2006-10-28
¡¾´ð°¸¡¿Ó¦Öú»ØÌû
¡ï ¡ï ¡ï ¡ï ¡ï ¡ï ¡ï ¡ï ¡ï ¡ï
¸Ðл²ÎÓ룬ӦÖúÖ¸Êý +1
²ÔÓê(feixiaolin´ú·¢): ½ð±Ò+10, ¸ÐлӦÖú 2013-11-30 23:20:18
¸Ðл²ÎÓ룬ӦÖúÖ¸Êý +1
²ÔÓê(feixiaolin´ú·¢): ½ð±Ò+10, ¸ÐлӦÖú 2013-11-30 23:20:18
2Â¥2013-11-30 22:58:31
feixiaolin
ÈÙÓþ°æÖ÷ (ÎÄ̳¾«Ó¢)
-

ר¼Ò¾Ñé: +518 - Ó¦Öú: 942 (²©ºó)
- ¹ó±ö: 1.275
- ½ð±Ò: 3880
- É¢½ð: 58785
- ºì»¨: 532
- ɳ·¢: 11
- Ìû×Ó: 24215
- ÔÚÏß: 2601.8Сʱ
- ³æºÅ: 2139575
- ×¢²á: 2012-11-21
- רҵ: ¹âѧÐÅÏ¢»ñÈ¡Óë´¦Àí
- ¹ÜϽ: Êýѧ
3Â¥2013-11-30 23:13:20
²ÔÓê
Òø³æ (ÕýʽдÊÖ)
- Ó¦Öú: 0 (Ó×¶ùÔ°)
- ½ð±Ò: 1206.2
- É¢½ð: 219
- ºì»¨: 6
- Ìû×Ó: 612
- ÔÚÏß: 346.3Сʱ
- ³æºÅ: 1136375
- ×¢²á: 2010-11-01
- ÐÔ±ð: GG
- רҵ: Óлú»¯¹¤
4Â¥2013-12-03 00:07:27














»Ø¸´´ËÂ¥