版块导航
正在加载中...
客户端APP下载
论文辅导
申博辅导
登录
注册
帖子
帖子
用户
本版
应《网络安全法》要求,自2017年10月1日起,未进行实名认证将不得使用互联网跟帖服务。为保障您的帐号能够正常使用,请尽快对帐号进行手机号验证,感谢您的理解与支持!
24小时热门版块排行榜
>
论坛更新日志
(3759)
>
文献求助
(395)
>
导师招生
(343)
>
虫友互识
(322)
>
硕博家园
(217)
>
博后之家
(132)
>
招聘信息布告栏
(118)
>
休闲灌水
(93)
>
论文投稿
(81)
>
考博
(79)
>
考研
(71)
>
基金申请
(59)
>
教师之家
(53)
>
绿色求助(高悬赏)
(52)
>
公派出国
(36)
>
SciFinder/Reaxys
(33)
小木虫论坛-学术科研互动平台
»
计算模拟区
»
计算模拟
»
其他
»
origin自定义拟合公式中求和怎样表示
1
1/1
返回列表
查看: 949 | 回复: 0
只看楼主
@他人
存档
新回复提醒
(忽略)
收藏
在APP中查看
kent1022
金虫
(著名写手)
应助: 1
(幼儿园)
金币: 566
散金: 20
红花: 1
帖子: 1278
在线: 397.8小时
虫号: 680880
注册: 2008-12-24
专业: 原子和分子物理
[
求助
]
origin自定义拟合公式中求和怎样表示
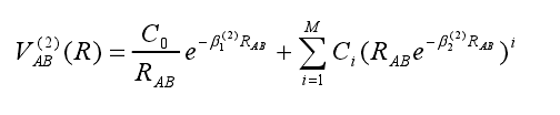
在origin中自定义拟合,公式中含有求和,应该怎样表示? 不会是每一项都要写出来吧? 式中M可根据需要人为指定,因此具体有几项要可变
无标题.png
[
Last edited by kent1022 on 2013-11-27 at 15:01
]
回复此楼
» 猜你喜欢
新西兰Robinson研究所招收全奖PhD
已经有0人回复
石墨烯转移--二氧化硅衬底石墨烯
已经有0人回复
物理学I论文润色/翻译怎么收费?
已经有113人回复
笼目材料中量子自旋液体基态的证据
已经有0人回复
数学教学论硕士可以读数学物理博士吗?
已经有0人回复
德国亥姆霍兹Hereon中心汉堡分部招镁合金腐蚀裂变SCC课题方向2026公派博士生
已经有4人回复
澳门大学 应用物理及材料工程研究院 潘晖教授课题组诚招博士后
已经有11人回复
求助NH4V4O10晶体的CIF文件
已经有0人回复
英国全奖博士招聘-深度学习与量子物理
已经有0人回复
间接带隙半导体有效质量求助
已经有1人回复
投稿chemical physical letters不送审?
已经有2人回复
1楼
2013-11-27 14:59:40
已阅
回复此楼
关注TA
给TA发消息
送TA红花
TA的回帖
智能机器人
Robot
(super robot)
我们都爱小木虫
找到一些相关的精华帖子,希望有用哦~
关于origin数据拟合方程后,求一个y值对应的x值
已经有7人回复
origin中如何自定义Birch–Murnaghan三阶拟合
已经有40人回复
origin 非线性自定义拟合问题~~方程组编写及运行~~
已经有8人回复
origin 非线性自定义拟合问题~~急需帮助~~
已经有5人回复
在用origin进行非线性拟合怎样去选择拟合函数?
已经有6人回复
在origin中作Ce—Qe图时,如何拟合做Langmuir和Freundlich曲线
已经有7人回复
求高手相助:origin非线性拟合 新建公式怎么编辑
已经有8人回复
origin7.0非线性自定义拟合
已经有9人回复
origin7.5进行自定义函数的拟合,参数初始值怎么确定
已经有5人回复
origin8.5自定义拟合公式并拟合
已经有7人回复
请问有人会用origin拟合数据用自定义的公式么?急急!
已经有8人回复
origin软件进行曲线拟合后,怎样保存拟合的曲线和它的数据?
已经有3人回复
origin进行自定义非线性拟合
已经有15人回复
origin自定义拟合时输入公式后编译出错
已经有7人回复
origin进行非线性拟合如何选择函数或者自定义合适的函数
已经有19人回复
为什么同样的数据,origin 和excel做成的拟合公式不同?
已经有13人回复
求助:origin8.0 自定义非线性拟合,参数拟合值与设定初始值一样
已经有18人回复
怎样用origin拟合非线性曲线?尽量包括每个数据点
已经有19人回复
origin进行自定义函数的拟合
已经有3人回复
Origin8.0SR4线性拟合的趋势线在始终端总是出现双向箭头,怎样消除?
已经有5人回复
50金币请高手教会origin7.5的自定义函数拟合
已经有7人回复
求助高手关于origin 8.0 用自定义函数进行拟合
已经有14人回复
点击这里搜索更多相关资源
科研从小木虫开始,人人为我,我为人人
相关版块跳转
第一性原理
量子化学
计算模拟
分子模拟
仿真模拟
程序语言
我要订阅楼主
kent1022
的主题更新
1
1/1
返回列表
如果回帖内容含有宣传信息,请如实选中。否则帐号将被全论坛禁言
普通表情
龙
兔
虎
猫
百度网盘
|
360云盘
|
千易网盘
|
华为网盘
在新窗口页面中打开自己喜欢的网盘网站,将文件上传后,然后将下载链接复制到帖子内容中就可以了。
信息提示
关闭
请填处理意见
关闭
确定