²é¿´: 586  |  »Ø¸´: 2

PurpleYum

Í­³æ (³õÈëÎÄ̳)

[ÇóÖú] Çë½ÌÒ»º¬ÓÐÎÞÇîºÅµÄ¸öÊýѧ¹«Ê½

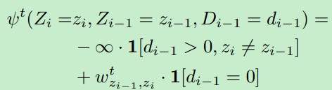
Çë½ÌÏ£¬ÏÂÃæÍ¼ÖеĹ«Ê½ ÎÞÇîºÅºÍºóÃæµÄ1ÒÔ¼°ÖÐÀ¨ºÅ´ú±íµÄÊÇʲôÒâ˼°¡£¿
Çë½ÌÒ»º¬ÓÐÎÞÇîºÅµÄ¸öÊýѧ¹«Ê½
1.jpg
»Ø¸´´ËÂ¥

» ²ÂÄãϲ»¶

» ±¾Ö÷ÌâÏà¹Ø¼ÛÖµÌùÍÆ¼ö£¬¶ÔÄúͬÑùÓаïÖú:

ÒÑÔÄ   »Ø¸´´ËÂ¥   ¹Ø×¢TA ¸øTA·¢ÏûÏ¢ ËÍTAºì»¨ TAµÄ»ØÌû

feixiaolin

ÈÙÓþ°æÖ÷ (ÎÄ̳¾«Ó¢)

ÓÅÐã°æÖ÷

Ô­ÎÄÏ×Ôõô½²µÄ£¿
2Â¥2013-11-24 08:08:23
ÒÑÔÄ   »Ø¸´´ËÂ¥   ¹Ø×¢TA ¸øTA·¢ÏûÏ¢ ËÍTAºì»¨ TAµÄ»ØÌû

PurpleYum

Í­³æ (³õÈëÎÄ̳)

ÒýÓûØÌû:
2Â¥: Originally posted by feixiaolin at 2013-11-24 08:08:23
Ô­ÎÄÏ×Ôõô½²µÄ£¿

Õâ¾ÍÊÇÕâ¸ö¹«Ê½ÉÏÃæ½éÉܵÄÍêÕûµÄÒ»¶Î»°£º
The second potential encompasses both the state and duration variables, and measures the score of transitioning between states, provided we are allowed to transition:
¹«Ê½ÖеÄZ¾ÍÊÇstates£¬D¾ÍÊÇduration¡£
3Â¥2013-11-24 11:04:20
ÒÑÔÄ   »Ø¸´´ËÂ¥   ¹Ø×¢TA ¸øTA·¢ÏûÏ¢ ËÍTAºì»¨ TAµÄ»ØÌû
Ïà¹Ø°æ¿éÌø×ª ÎÒÒª¶©ÔÄÂ¥Ö÷ PurpleYum µÄÖ÷Ìâ¸üÐÂ
×î¾ßÈËÆøÈÈÌûÍÆ¼ö [²é¿´È«²¿] ×÷Õß »Ø/¿´ ×îºó·¢±í
[¿¼ÑÐ] ¿¼Ñе÷¼Á +4 À´ºÃÔËÀ´À´À´ 2026-03-21 4/200 2026-03-22 12:15 by ÐÇ¿ÕÐÇÔÂ
[¿¼ÑÐ] 384Çóµ÷¼Á +3 ×Óϵ²© 2026-03-22 4/200 2026-03-22 11:04 by ²«»÷518
[¿¼ÑÐ] ²ÄÁÏѧ˶301·ÖÇóµ÷¼Á +7 Liyouyumairs 2026-03-21 7/350 2026-03-21 22:31 by peike
[¿¼ÑÐ] ¹ãÎ÷´óѧ²ÄÁϵ¼Ê¦ÍƼö +3 ÏÄÏÄÏÄСÕý 2026-03-17 5/250 2026-03-21 22:20 by ½ðê»ML
[¿¼ÑÐ] 326Çóµ÷¼Á +5 ŵ±´¶û»¯Ñ§½±êéê 2026-03-15 8/400 2026-03-21 19:33 by ColorlessPI
[¿¼ÑÐ] 297Çóµ÷¼Á +11 Ï·¾«µ¤µ¤µ¤ 2026-03-17 12/600 2026-03-21 17:47 by ColorlessPI
[¿¼ÑÐ] 279Çóµ÷¼Á +5 ºìÒÂÒþ¹Ù 2026-03-21 5/250 2026-03-21 14:59 by lature00
[¿¼ÑÐ] 279·ÖÇóµ÷¼Á Ò»Ö¾Ô¸211 +14 chaojifeixia 2026-03-19 15/750 2026-03-21 13:24 by zhukairuo
[¿¼ÑÐ] 346Çóµ÷¼Á[0856] +4 WayneLim327 2026-03-16 7/350 2026-03-21 04:02 by JourneyLucky
[¿¼ÑÐ] ¶þ±¾¿ç¿¼Ö£´ó²ÄÁÏ306Ó¢Ò»Êý¶þ +3 z1z2z3879 2026-03-17 3/150 2026-03-21 02:29 by JourneyLucky
[¿¼ÑÐ] 085700×ÊÔ´Óë»·¾³308Çóµ÷¼Á +12 īīĮ 2026-03-18 13/650 2026-03-21 01:42 by JourneyLucky
[¿¼ÑÐ] 296Çóµ÷¼Á +6 www_q 2026-03-18 10/500 2026-03-20 23:56 by JourneyLucky
[¿¼ÑÐ] 22408 344·Ö Çóµ÷¼Á Ò»Ö¾Ô¸ »ªµç¼ÆËã»ú¼¼Êõ +4 solanXXX 2026-03-20 4/200 2026-03-20 23:49 by alg094825
[¿¼ÑÐ] 350Çóµ÷¼Á +5 weudhdk 2026-03-19 5/250 2026-03-20 22:04 by luoyongfeng
[¿¼ÑÐ] 290Çóµ÷¼Á +7 ^O^Ø¿ 2026-03-19 7/350 2026-03-20 21:43 by JourneyLucky
[¿¼ÑÐ] 086500 325 Çóµ÷¼Á +3 Áì´øÐ¡ÐÜ 2026-03-19 3/150 2026-03-20 18:38 by ¾¡Ë´Ò¢1
[¿¼ÑÐ] 281Çóµ÷¼Á£¨0805£© +14 ÑÌÏ«Ò亣 2026-03-16 25/1250 2026-03-20 15:47 by yuncha
[¿¼ÑÐ] ÉúÎïѧµ÷¼ÁÕÐÈË£¡£¡£¡ +3 ɽº£Ììá° 2026-03-17 4/200 2026-03-19 21:34 by ÔõôÊÍ»³
[¿¼ÑÐ] 312Çóµ÷¼Á +8 İå·Ï£ 2026-03-16 9/450 2026-03-18 12:39 by Linda Hu
[¿¼ÑÐ] Ò»Ö¾Ô¸ÄϾ©´óѧ£¬080500²ÄÁÏ¿ÆÑ§Ó빤³Ì£¬µ÷¼Á +4 Jy? 2026-03-16 4/200 2026-03-17 11:02 by gaoqiong
ÐÅÏ¢Ìáʾ
ÇëÌî´¦ÀíÒâ¼û