| ²é¿´: 2106 | »Ø¸´: 4 | ||
wangjade6181ÖÁ×ðľ³æ (ÖøÃûдÊÖ)
|
[ÇóÖú]
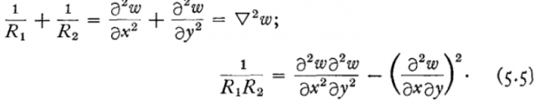
Çë½ÌÒ»¸ö¹ØÓÚÀÆÕÀ˹Ëã×ӵĹ«Ê½
|
|
![]() |
||
|
|
||
| »ØÌûÖö¥ ( ¹²ÓÐ1¸ö ) | ||
archdevilÌú¸Ëľ³æ (ÕýʽдÊÖ)
|
||
![]() |
||
|
4Â¥2012-10-06 02:59:18
|
|
|
| ÆÕͨ»ØÌû | ||
ͼÂÛÒø³æ (³õÈëÎÄ̳)
|
¡¾´ð°¸¡¿Ó¦Öú»ØÌû
¡ï ¡ï ¡ï
¸Ðл²ÎÓ룬ӦÖúÖ¸Êý +1 wangjade6181: ½ð±Ò+3, ¡ïÓаïÖú, Thanks! 2012-10-05 22:30:52
|
|
![]() |
||
|
2Â¥2012-10-05 22:25:59
|
|
|
wangjade6181ÖÁ×ðľ³æ (ÖøÃûдÊÖ)
|
||
![]() |
||
|
3Â¥2012-10-05 22:33:34
|
|
|
wangjade6181ÖÁ×ðľ³æ (ÖøÃûдÊÖ)
|
||
![]() |
||
|
5Â¥2012-10-06 06:12:18
|
|
|














»Ø¸´´ËÂ¥
wangjade6181