| ²é¿´: 2487 | »Ø¸´: 18 | ||
Ô·ÁÕÁÕ½ð³æ (ÖøÃûдÊÖ)
|
[ÇóÖú]
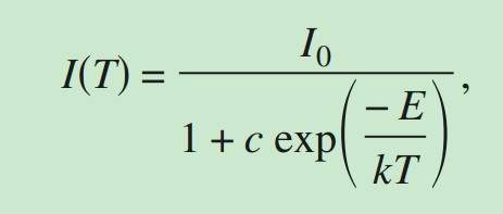
Çë´ó¼Ò°ïÎÒ½âÊÍÒ»ÏÂÕâ¸öͼµÄºá×Ý×ø±ê´ú±íÎïÀíµÄÒâÒ壬лл
|
|
ͼ1ÊǸù¾Ýͼ2µÄ¹«Ê½£¨Arrhenius equation£©µÃµ½µÄ£¬Âé·³´ó¼Ò°ïÎÒ½âÊÍÒ»ÏÂͼ1Öкá×Ý×ø±ê´ú±íµÄÒâÒ壬ÔÙ·ÖÎöÒ»ÏÂͼ1ÖÐÖ±ÏßµÄÒâÒ壬лл ͼ1.jpg ͼ2.jpg |
» ²ÂÄãϲ»¶
³É¶¼´óѧ¿ÎÌâ×éÕÐÊÕ26¼¶²ÄÁϹ¤³ÌÑо¿Éú
ÒѾÓÐ1È˻ظ´
¡¾²©Ê¿ÕÐÉú¡¿ÉϺ£½»Í¨´óѧ³ÂÙ»èÝ¿ÎÌâ×éÕÐÊÕ2026ÄêÉêÇë-¿¼ºË²©Ê¿Éú1Ãû£¨ÄÜÔ´²ÄÁÏ·½Ïò£©
ÒѾÓÐ19È˻ظ´
Ò±½ðÓë¿óÒµÂÛÎÄÈóÉ«/·ÒëÔõôÊÕ·Ñ?
ÒѾÓÐ192È˻ظ´
̫ԿƼ¼´óѧ²ÄÁÏ¿ÆÑ§Ó빤³ÌѧԺÕÐÊÕ½ðÊô²ÄÁÏÀ಩ʿһÃû
ÒѾÓÐ18È˻ظ´
̫ԿƼ¼´óѧ²ÄÁÏ¿ÆÑ§Ó빤³ÌѧԺÕÐÊÕ½ðÊô²ÄÁÏÀ಩ʿһÃû
ÒѾÓÐ0È˻ظ´
½Î÷ʦ´ó»¯Ñ§¹¤³ÌѧԺ½ÓÊÕ2026µ÷¼ÁÉú
ÒѾÓÐ15È˻ظ´
2026ÄêÆû³µ²ÄÁÏѧԺ¼Æ»®ÕÐÊÕµ÷¼ÁÑо¿Éú21Ãû
ÒѾÓÐ0È˻ظ´
2026ÄêÆë³¹¤Òµ´óѧ(ɽ¶«Ê¡¿ÆÑ§Ôº)²ÄÁÏѧ²¿µç×Ó²ÄÁÏÓëÔªÆ÷¼þ´´ÐÂÍŶÓÕÐÊÕµ÷¼ÁÑо¿Éú
ÒѾÓÐ2È˻ظ´
»ª±±Àí¹¤´óѧ-¿óÒµ¹¤³ÌѧԺ½ÓÊÕµ÷¼ÁÑо¿Éú
ÒѾÓÐ0È˻ظ´
½Î÷ʦ´ó»¯Ñ§¹¤³ÌѧԺµ÷¼Á½ñÍí0µã¿ª·Å£¡
ÒѾÓÐ9È˻ظ´
» ±¾Ö÷ÌâÏà¹Ø¼ÛÖµÌùÍÆ¼ö£¬¶ÔÄúͬÑùÓаïÖú:
Çë¸ßÊÖ°ïæ¿´Ò»ÏÂÕâÁ½Ìõ´ÅÖÍ»ØÏߵijöÏÖµÄÎÊÌâ
ÒѾÓÐ3È˻ظ´
¸øÀÏʦ·¢Óʼþ£¬ÀÏʦÕâô»Ø¸´ÊÇʲôÒâ˼£¬Çë´ó¼Ò°ïæ½âÊÍÏÂ
ÒѾÓÐ11È˻ظ´
ÏÂÃæµÄͼÊÇÔõô×ö³öÀ´µÄ
ÒѾÓÐ4È˻ظ´
Çë´ó¼Ò°ïæ½âÊÍÒ»ÏÂÕâ¸ö¹ÖÒìµÄEIS£¨µç»¯Ñ§½»Á÷×迹Æ×ͼ£©£¬¶àл£¡£¡
ÒѾÓÐ15È˻ظ´
ÉúÎïÀàµÄÇë°ïæ¿´ÏÂÉó¸åÒâ¼û£¬¼±£¡£¡
ÒѾÓÐ21È˻ظ´
°ïæ¿´ÏÂÕâ¸ö¿×϶ÂÊͼÔõô·ÖÎöѽ£¿
ÒѾÓÐ3È˻ظ´
ÇóÖú 0ÏÂÃæÒ»ºáɶÒâ˼
ÒѾÓÐ3È˻ظ´
electrochemical impedance spectroscopyµÄ°ëÔ²ÊÇʲôÒâ˼?
ÒѾÓÐ12È˻ظ´
DSCÈÈ·ÖÎöͼÆ×·ÖÎö
ÒѾÓÐ14È˻ظ´
GPCÖвⶨÇúÏßÖÐÕâ¸ö×Ý×ø±ê´ú±íʲôÒâ˼£¿Êýѧ²»ºÃ£¡Èçͼ£¡
ÒѾÓÐ3È˻ظ´
ÈçºÎ»¿×¾¶·Ö²¼Í¼
ÒѾÓÐ10È˻ظ´
´ó¼Ò°ï¿´¿´¼¼ÊõÉó²éºóµÄÒâ¼û£¬¾ßÌåÊÇʲôÒâ˼¡£
ÒѾÓÐ3È˻ظ´
ÇëÎÊVSM´ÅÖÍ»ØÏߵij¬Ë³´ÅÐÔÎÊÌ⣿¸ßÊÖ°ï°ïæ½â´ð¡¤¡¤¡¤¡¤
ÒѾÓÐ15È˻ظ´
Çë½Ì´ó¼Ò¼¸¸öÎÊÌ⣬ÈËÈËÓбұÒŶ
ÒѾÓÐ7È˻ظ´
¡¾ÇóÖú¡¿µ¼Ê¦ÕâÑù¸øÎÒ»ØÐÅ£¬²»ÖªµÀÊÇʲôÒâ˼£¬Çë´ó¼Ò°ï°ïæ½âÊÍÒ»ÏÂ
ÒѾÓÐ21È˻ظ´
¡¾ÇóÖú¡¿Á½ÕÅDSCͼÆ×£¬Çë´ó¼Ò°ïæ·ÖÎöÏÂΪºÎÏàͬÎïÖʲ»Í¬ÒÇÆ÷×ö³öÀ´Í¼Ðβ»Í¬
ÒѾÓÐ8È˻ظ´
Çë°ïÎÒ¿´¿´ÕâÑùµÄ·ÇµÈ±ÈÀý×ø±êÊÇʲôÒâ˼?
ÒѾÓÐ9È˻ظ´
¡¾ÇóÖú¡¿Çë½Ì¸ßÊÖÒ»¸öGPCͼÆ×µÄ½âÎö
ÒѾÓÐ11È˻ظ´

wbcui
ÖÁ×ðľ³æ (ÖªÃû×÷¼Ò)
- MEPI: 1
- Ó¦Öú: 221 (´óѧÉú)
- ¹ó±ö: 0.349
- ½ð±Ò: 16296.6
- É¢½ð: 359
- ºì»¨: 73
- Ìû×Ó: 8321
- ÔÚÏß: 919Сʱ
- ³æºÅ: 543804
- ×¢²á: 2008-04-11
- רҵ: ½ðÊô¹¦ÄܲÄÁÏ
2Â¥2013-10-17 00:20:42
Ô·ÁÕÁÕ
½ð³æ (ÖøÃûдÊÖ)
- Ó¦Öú: 11 (СѧÉú)
- ½ð±Ò: 293.8
- É¢½ð: 2037
- ºì»¨: 15
- Ìû×Ó: 1336
- ÔÚÏß: 207.4Сʱ
- ³æºÅ: 2213981
- ×¢²á: 2012-12-30
- ÐÔ±ð: MM
- רҵ: ÎÞ»ú·Ç½ðÊôÀà¹âµçÐÅÏ¢Ó빦

3Â¥2013-10-17 08:27:27
wbcui
ÖÁ×ðľ³æ (ÖªÃû×÷¼Ò)
- MEPI: 1
- Ó¦Öú: 221 (´óѧÉú)
- ¹ó±ö: 0.349
- ½ð±Ò: 16296.6
- É¢½ð: 359
- ºì»¨: 73
- Ìû×Ó: 8321
- ÔÚÏß: 919Сʱ
- ³æºÅ: 543804
- ×¢²á: 2008-04-11
- רҵ: ½ðÊô¹¦ÄܲÄÁÏ
4Â¥2013-10-17 09:37:00
tookey232
ͳæ (ÕýʽдÊÖ)
- Ó¦Öú: 31 (СѧÉú)
- ½ð±Ò: 140.7
- ºì»¨: 2
- Ìû×Ó: 765
- ÔÚÏß: 295.9Сʱ
- ³æºÅ: 465946
- ×¢²á: 2007-11-23
- ÐÔ±ð: GG
- רҵ: ÎÞ»ú·Ç½ðÊôÀà¹âµçÐÅÏ¢Ó빦
5Â¥2013-10-18 08:09:46
Ô·ÁÕÁÕ
½ð³æ (ÖøÃûдÊÖ)
- Ó¦Öú: 11 (СѧÉú)
- ½ð±Ò: 293.8
- É¢½ð: 2037
- ºì»¨: 15
- Ìû×Ó: 1336
- ÔÚÏß: 207.4Сʱ
- ³æºÅ: 2213981
- ×¢²á: 2012-12-30
- ÐÔ±ð: MM
- רҵ: ÎÞ»ú·Ç½ðÊôÀà¹âµçÐÅÏ¢Ó빦

6Â¥2013-10-18 08:33:46
Ô·ÁÕÁÕ
½ð³æ (ÖøÃûдÊÖ)
- Ó¦Öú: 11 (СѧÉú)
- ½ð±Ò: 293.8
- É¢½ð: 2037
- ºì»¨: 15
- Ìû×Ó: 1336
- ÔÚÏß: 207.4Сʱ
- ³æºÅ: 2213981
- ×¢²á: 2012-12-30
- ÐÔ±ð: MM
- רҵ: ÎÞ»ú·Ç½ðÊôÀà¹âµçÐÅÏ¢Ó빦

7Â¥2013-10-18 08:35:37
bible2
°æÖ÷ (Ö°Òµ×÷¼Ò)
- Ó¦Öú: 545 (²©Ê¿)
- ¹ó±ö: 0.093
- ½ð±Ò: 32073.7
- É¢½ð: 1030
- ºì»¨: 174
- ɳ·¢: 1
- Ìû×Ó: 4801
- ÔÚÏß: 2833.9Сʱ
- ³æºÅ: 265520
- ×¢²á: 2006-07-15
- רҵ: ÎÞ»ú·Ç½ðÊôÀà¹âµçÐÅÏ¢Ó빦
- ¹ÜϽ: ÎÞ»ú·Ç½ðÊô
8Â¥2013-10-18 09:46:46
Ô·ÁÕÁÕ
½ð³æ (ÖøÃûдÊÖ)
- Ó¦Öú: 11 (СѧÉú)
- ½ð±Ò: 293.8
- É¢½ð: 2037
- ºì»¨: 15
- Ìû×Ó: 1336
- ÔÚÏß: 207.4Сʱ
- ³æºÅ: 2213981
- ×¢²á: 2012-12-30
- ÐÔ±ð: MM
- רҵ: ÎÞ»ú·Ç½ðÊôÀà¹âµçÐÅÏ¢Ó빦
|
ÕâÊÇÄÇÆªÎÄÏ×£¬ÄãÄÛ¸ø·ÖÎöÒ»ÏÂÂð |
» ±¾Ìû¸½¼þ×ÊÔ´Áбí
-
»¶Ó¼à¶½ºÍ·´À¡£ºÐ¡Ä¾³æ½öÌṩ½»Á÷ƽ̨£¬²»¶Ô¸ÃÄÚÈݸºÔð¡£
±¾ÄÚÈÝÓÉÓû§×ÔÖ÷·¢²¼£¬Èç¹ûÆäÄÚÈÝÉæ¼°µ½ÖªÊ¶²úȨÎÊÌ⣬ÆäÔðÈÎÔÚÓÚÓû§±¾ÈË£¬Èç¶Ô°æÈ¨ÓÐÒìÒ飬ÇëÁªÏµÓÊÏ䣺xiaomuchong@tal.com - ¸½¼þ 1 : 2-phosphor-convertedwhitelight-emittingdiodesusingoxynitridenitride.pdf
2013-10-18 13:40:57, 380.58 K

9Â¥2013-10-18 13:41:34
bible2
°æÖ÷ (Ö°Òµ×÷¼Ò)
- Ó¦Öú: 545 (²©Ê¿)
- ¹ó±ö: 0.093
- ½ð±Ò: 32073.7
- É¢½ð: 1030
- ºì»¨: 174
- ɳ·¢: 1
- Ìû×Ó: 4801
- ÔÚÏß: 2833.9Сʱ
- ³æºÅ: 265520
- ×¢²á: 2006-07-15
- רҵ: ÎÞ»ú·Ç½ðÊôÀà¹âµçÐÅÏ¢Ó빦
- ¹ÜϽ: ÎÞ»ú·Ç½ðÊô
¡¾´ð°¸¡¿Ó¦Öú»ØÌû
¡ï ¡ï ¡ï ¡ï ¡ï ¡ï ¡ï ¡ï ¡ï ¡ï ¡ï ¡ï ¡ï ¡ï ¡ï ¡ï ¡ï ¡ï ¡ï ¡ï ¡ï ¡ï ¡ï ¡ï ¡ï
Ô·ÁÕÁÕ: ½ð±Ò+25 2013-10-21 08:42:02
Ô·ÁÕÁÕ: ½ð±Ò+25 2013-10-21 08:42:02
|
¼ÈÈ»ÊǽâÈÙ¾üµÄÎÄÕ£¬ÄÇÄãÖ±½ÓÎÊËû×îºÏÊÊÁË¡£ xierongjun@nimte.ac.cn |
10Â¥2013-10-18 15:09:03














»Ø¸´´ËÂ¥