| 查看: 1874 | 回复: 8 | |
h_don新虫 (初入文坛)
|
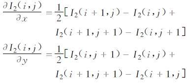
[求助]
关于图像梯度算法
|
|
|
|
|
2楼2013-10-14 21:25:53
|
|
yongcailiu金虫 (小有名气)
|
|
|
3楼2013-10-15 09:25:04
|
|
gorgan木虫之王 (文学泰斗)
无意苦争春
|
|
![]() |
|
|
4楼2013-10-15 11:00:33
|
|
|
5楼2013-11-28 10:24:11
|
|
|
6楼2013-11-28 22:54:51
|
|
bestluyf木虫 (正式写手)
|
|
|
7楼2013-12-01 00:27:31
|
|
|
8楼2013-12-01 20:34:26
|
|
|
9楼2013-12-06 12:43:23
|
|













回复此楼

10