| ²é¿´: 1191 | »Ø¸´: 6 | |||
iceicy99½ð³æ (СÓÐÃûÆø)
|
[ÇóÖú]
Çó´óÉñÓÃ1stoptÄâºÏÊý¾Ý ½ô¼±
|
|
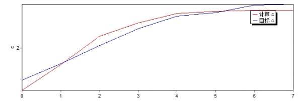
¸÷λ´óÉñ°ïÎÒÓÃ1stoptÄâºÏÏÂÈý×éÊý¾Ý°É£¬¸÷ÖÖÍ·´óÖУ¬¶¼²»ÖªµÀÍùÄĸö·½Ïò½âÁËËùÒÔÖ±½Ó¸øÔ·½³Ì×é°É£¬Âé·³¸÷λÁË 1.A=a*b*C(t)^n 2.dB/dt=c*(b*d*C(t)^n-B) 3.A+B=1200*(e-C(t))-f 4.a+c=1-g ˵Ã÷£º´óдµÄA B C ´ú±íÊÇʱ¼ät µÄº¯Êý СдµÄ b n e f gÊÇÒÑÖªµÄ²ÎÊý¡£ a c dÊÇÐèÒªÇó²ÎÊý ʵÑéÊý¾ÝÊÇÓëʱ¼ät¶ÔÓ¦µÄº¯ÊýÖµC(t) ×Ô±äÁ¿ÊÇt Ó¦±äÁ¿ÊÇA B C(t)£¬ÒªÇóµÄÊDzÎÊýa c d Êý¾ÝÈçÏ µÚÒ»×飺 b=6476.73 n=0.413 e=14.23 f=11247.4 g=0.6042 t C(t) 0 0 0.5 1.34 1 1.68 2 2.06 3 2.41 5 2.66 7 2.74 9 2.89 11 2.91 µÚ¶þ×é b=17499.19 n=0.294 e=21.93 f=25779.61 g=0.7938 t C(t) 0 0 0.5 0.97 1 1.16 2 1.37 3 1.45 5 1.85 7 2.11 9 2.13 11 2.14 µÚÈý×é b=19555.81 n=0.261 e=24.23 f=26467.84 g=0.8573 t C(t) 0 0 0.5 0.73 1 0.89 2 1.16 3 1.35 5 1.68 7 1.87 9 1.95 11 2.00 |
» ÊÕ¼±¾ÌûµÄÌÔÌûר¼ÍƼö
ʵÑé·½·¨¼¼ÇÉ |
» ²ÂÄãϲ»¶
ɽÎ÷´óͬ´óѧÎïÀíѧ˶ʿÑо¿ÉúÕÐÊÕµ÷¼ÁÉú
ÒѾÓÐ0È˻ظ´
[µ÷¼ÁÐÅÏ¢]211ÖÇÄÜÈ˹¤¸ÐÖª·½Ïò¹ú¼ÒÇàÄêÌØÆ¸×¨¼Ò¿ÎÌâ×éÕÐÊÕµ÷¼ÁÑо¿Éú
ÒѾÓÐ0È˻ظ´
ÎïÀíѧIÂÛÎÄÈóÉ«/·ÒëÔõôÊÕ·Ñ?
ÒѾÓÐ101È˻ظ´
£Ûµ÷¼ÁÐÅÏ¢£Ý211ÖÇÄÜÈ˹¤¸ÐÖª·½Ïò¹ú¼ÒÇàÄêÌØÆ¸×¨¼Ò¿ÎÌâ×éÕÐÊÕµ÷¼ÁÑо¿Éú
ÒѾÓÐ0È˻ظ´
[µ÷¼ÁÐÅÏ¢]211ÖÇÄÜÈ˹¤¸ÐÖª·½Ïò¹ú¼ÒÇàÄêÌØÆ¸×¨¼Ò¿ÎÌâ×éÕÐÊÕµ÷¼ÁÑо¿Éú
ÒѾÓÐ0È˻ظ´
0702Ò»Ö¾Ô¸¼ª´óBÇøÇóµ÷¼Á ±¾¿ÆÆÚ¼ä·¢±íһƪSci
ÒѾÓÐ2È˻ظ´
0702Ò»Ö¾Ô¸¼ª´óBÇøÇóµ÷¼Á ±¾¿ÆÆÚ¼ä·¢±íһƪSci
ÒѾÓÐ0È˻ظ´
070200Çóµ÷¼Á£¬Ò»Ö¾Ô¸Ä³211£¬288·Ö
ÒѾÓÐ18È˻ظ´
·¨¹ú²©Ê¿ºóְλ
ÒѾÓÐ0È˻ظ´
ÖØÇì½»´ó26Äê˶ʿÉúÕÐÉúÄâµ÷¼Á֪ͨÒѳö£¡»¶Ó¼ÓÈë»úÆ÷ÊÓ¾õÓë3D¹âѧ³ÉÏñ¿ÎÌâ×é¡£
ÒѾÓÐ0È˻ظ´
» ±¾Ö÷ÌâÏà¹Ø¼ÛÖµÌùÍÆ¼ö£¬¶ÔÄúͬÑùÓаïÖú:
1stoptÄܽøÐÐÒþº¯Êý·ÇÏßÐÔÄâºÏÂð£¿ËÄܰïÄâºÏÒ»ÏÂÐÂÐÍÒºÌåµÄÕ³¶È»ìºÏ¼ÆË㹫ʽ
ÒѾÓÐ5È˻ظ´
Çó´óÉñÓÃ1stOpt°ïæģÄâÒ»¸ö¸´ÊýÄâºÏ¡£
ÒѾÓÐ3È˻ظ´
²ÉÓÃ1stoptÄâºÏ
ÒѾÓÐ8È˻ظ´
ËÓÃ1stoptÕâ¸öÈí¼þ°¡£¬ÀëÉ¢Êý¾ÝÄâºÏ·½³Ì£¬·½³Ìδ֪
ÒѾÓÐ5È˻ظ´
Çó´óÉñ°ïæÓÃ1stOpt ÄâºÏ¸´ÊýÊý¾Ý
ÒѾÓÐ13È˻ظ´
ÇóÖú£¬matlab/ 1stOpt ×Ô¶¨Òå΢·Ö·½³ÌÄâºÏʵÑéÊý¾ÝÀ´Çó·½³ÌÖеIJÎÊý
ÒѾÓÐ4È˻ظ´
Çó¸ß°æ±¾1stoptÄâºÏ£¬
ÒѾÓÐ11È˻ظ´
1stoptÖÐʹÓÃsharedmodelÄâºÏÇúÏß³öÏÖÎÊÌ⣬Çóָʾ£¡£¡
ÒѾÓÐ6È˻ظ´
ÓÃ1stoptÄâºÏ·ÇÏßÐÔ·½³Ì½á¹ûÓëÆäËûÈí¼þÄâºÏ½á¹û²îÒì´ó
ÒѾÓÐ5È˻ظ´
Çó¸ß°æ±¾1stopt£¬½â¾öÒ»¸öÎÊÌ⣬΢·Ö·½³Ì×é²ÎÊýÄâºÏ
ÒѾÓÐ3È˻ظ´
´ó¼ÒÔÚʹÓÃ1stOpt½øÐÐÊý¾ÝÄâºÏµÄʱºòÓÐûÓÐÓöµ½¹ýÕâÖÖÇé¿ö£¿
ÒѾÓÐ8È˻ظ´
СÃòËÄñһö£¬Çë½Ì´óÉñ°ïæ¿´ÎÒµÄÊý¾Ý¿ÉÒÔÄâºÏ³ÉʲôÑùµÄ·½³Ì£¬¶àл
ÒѾÓÐ6È˻ظ´
ÓÐ1stOpt4.0°æ±¾µÄÅóÓѰïæÄâºÏһϸ´Êý°É ¸Ð¼¤²»¾¡ÄÅ
ÒѾÓÐ4È˻ظ´
1stopt»òmatlabÈçºÎÇó½âÒÔϵķÇÏßÐÔ·½³Ì²¢ÄâºÏ³öÏàÓ¦ÇúÏߣ¿
ÒѾÓÐ13È˻ظ´
ÄÄλ´ó¸çÄܰïÎÒÓÃ1stopt3.0ÒÔÉϰ汾ÅÜÒ»¸öÄâºÏ³ÌÐò
ÒѾÓÐ11È˻ظ´
ÓÃorigin»ò1stoptÄâºÏÒ»ÌõÒþº¯Êý·½³ÌÇúÏß
ÒѾÓÐ4È˻ظ´
ÓÃ1stopt½øÐÐÊý¾ÝÄâºÏʱ£¬ÎÞ·¨ÔËÐÐsharedmodel ,ÇóÖú¸ßÊÖ
ÒѾÓÐ7È˻ظ´
dingd
Ìú¸Ëľ³æ (Ö°Òµ×÷¼Ò)
- ¼ÆËãÇ¿Ìû: 4
- Ó¦Öú: 1641 (½²Ê¦)
- ½ð±Ò: 15037.3
- É¢½ð: 101
- ºì»¨: 234
- Ìû×Ó: 3410
- ÔÚÏß: 1223.7Сʱ
- ³æºÅ: 291104
- ×¢²á: 2006-10-28
¡¾´ð°¸¡¿Ó¦Öú»ØÌû
¡ï ¡ï ¡ï ¡ï ¡ï ¡ï ¡ï ¡ï ¡ï ¡ï ¡ï ¡ï ¡ï ¡ï ¡ï ¡ï ¡ï ¡ï ¡ï ¡ï ¡ï ¡ï ¡ï ¡ï ¡ï ¡ï ¡ï ¡ï ¡ï ¡ï ¡ï ¡ï
¸Ðл²ÎÓ룬ӦÖúÖ¸Êý +1
iceicy99: ½ð±Ò+30, ¡ï¡ï¡ï¡ï¡ï×î¼Ñ´ð°¸, ·Ç³£Ð»Ð» 2013-10-14 10:10:54
csgt0: ½ð±Ò+2, лл 2013-10-15 13:26:34
¸Ðл²ÎÓ룬ӦÖúÖ¸Êý +1
iceicy99: ½ð±Ò+30, ¡ï¡ï¡ï¡ï¡ï×î¼Ñ´ð°¸, ·Ç³£Ð»Ð» 2013-10-14 10:10:54
csgt0: ½ð±Ò+2, лл 2013-10-15 13:26:34
2Â¥2013-10-13 22:40:20
iceicy99
½ð³æ (СÓÐÃûÆø)
- Ó¦Öú: 0 (Ó×¶ùÔ°)
- ½ð±Ò: 1012.1
- É¢½ð: 48
- Ìû×Ó: 69
- ÔÚÏß: 42.8Сʱ
- ³æºÅ: 1151752
- ×¢²á: 2010-11-20
- ÐÔ±ð: GG
- רҵ: »·¾³ÎÛȾ»¯Ñ§
|
·Ç³£¸Ðл£¬µ«ÎÒÏÈÖ±½Ó¸´ÖÆÄãµÄ´úÂ룬ÅÜһϣ¬ÏÔʾ£ºÃ»ÓвÎÊýparameters±»¶¨Òå ×îºóÒ»¸ö·½³ÌÎÒ¶ÔÓ¦´íÁË£¬ µÚËĸö·½³ÌÓ¦¸ÃΪa+d=1-g £¨a,d,gΪÈýÖÖ×é·ÖµÄ±ÈÀý£¬ºÍΪ1£© ÕûÀíµÃ C'=(c*(b*d*C^n-(1200*(e-C)-f-a*b*C^n)))/(-1200-a*b*n*C^(n-1)) Ôö¼ÓÏÞÖÆÌõ¼þ a d gΪ±ÈÀýÒò×Ó£¬ÄãµÚÎåµãÖÐC³õʼֵÉèÖÃΪ0.1Ì«´ó£¬Éè³É0.01 ´úÂëÈçÏ£º parameters a[0,0.3958],c1[0,],d[0,] Constant b=6476.73, n=0.413, e=14.23, f=11247.4, g=0.6042; ConstStr d=1-g-a; Variable t,C; ODEFunction C'=(c1*(b*d*C^n-(1200*(e-C)-f-a*b*C^n)))/(-1200-a*b*n*C^(n-1)); Data; 0 0.01 0.5 1.34 1 1.68 2 2.06 3 2.41 5 2.66 7 2.74 9 2.89 11 2.91 Åܲ»¶¯£¬Åܳö½á¹ûΪ¿Õ°×Ò³£¬ÎÒÓõÄÊÇwin7 £¬×¨ÒµÆÆ½â°æ1.5£¬ÔËÐÐʱÊÇÒÔ¹ÜÀíÔ±Éí·ÝÔËÐе쬰ïÎÒ¿´¿´Ôõô»ØÊ£¬Âé·³ÁË |
3Â¥2013-10-14 10:41:37
iceicy99
½ð³æ (СÓÐÃûÆø)
- Ó¦Öú: 0 (Ó×¶ùÔ°)
- ½ð±Ò: 1012.1
- É¢½ð: 48
- Ìû×Ó: 69
- ÔÚÏß: 42.8Сʱ
- ³æºÅ: 1151752
- ×¢²á: 2010-11-20
- ÐÔ±ð: GG
- רҵ: »·¾³ÎÛȾ»¯Ñ§
|
·Ç³£¸Ðл£¬µ«ÎÒÏÈÖ±½Ó¸´ÖÆÄãµÄ´úÂ룬ÅÜһϣ¬ÏÔʾ£ºÃ»ÓвÎÊýparameters±»¶¨Òå ×îºóÒ»¸ö·½³ÌÎÒ¶ÔÓ¦´íÁË£¬ µÚËĸö·½³ÌÓ¦¸ÃΪa+d=1-g £¨a,d,gΪÈýÖÖ×é·ÖµÄ±ÈÀý£¬ºÍΪ1£© ÕûÀíµÃ C'=(c*(b*d*C^n-(1200*(e-C)-f-a*b*C^n)))/(-1200-a*b*n*C^(n-1)) Ôö¼ÓÏÞÖÆÌõ¼þ a d gΪ±ÈÀýÒò×Ó£¬ÄãµÚÎåµãÖÐC³õʼֵÉèÖÃΪ0.1Ì«´ó£¬Éè³É0.01 ´úÂëÈçÏ£º parameters a[0,0.3958],c1[0,],d[0,] Constant b=6476.73, n=0.413, e=14.23, f=11247.4, g=0.6042; ConstStr d=1-g-a; Variable t,C; ODEFunction C'=(c1*(b*d*C^n-(1200*(e-C)-f-a*b*C^n)))/(-1200-a*b*n*C^(n-1)); Data; 0 0.01 0.5 1.34 1 1.68 2 2.06 3 2.41 5 2.66 7 2.74 9 2.89 11 2.91 Åܲ»¶¯£¬Åܳö½á¹ûΪ¿Õ°×Ò³£¬ÎÒÓõÄÊÇwin7 £¬×¨ÒµÆÆ½â°æ1.5£¬ÔËÐÐʱÊÇÒÔ¹ÜÀíÔ±Éí·ÝÔËÐе쬰ïÎÒ¿´¿´Ôõô»ØÊ£¬Âé·³ÁË |
4Â¥2013-10-14 10:43:28
dingd
Ìú¸Ëľ³æ (Ö°Òµ×÷¼Ò)
- ¼ÆËãÇ¿Ìû: 4
- Ó¦Öú: 1641 (½²Ê¦)
- ½ð±Ò: 15037.3
- É¢½ð: 101
- ºì»¨: 234
- Ìû×Ó: 3410
- ÔÚÏß: 1223.7Сʱ
- ³æºÅ: 291104
- ×¢²á: 2006-10-28
» ±¾ÌûÒÑ»ñµÃµÄºì»¨£¨×îÐÂ10¶ä£©
5Â¥2013-10-14 11:41:02
iceicy99
½ð³æ (СÓÐÃûÆø)
- Ó¦Öú: 0 (Ó×¶ùÔ°)
- ½ð±Ò: 1012.1
- É¢½ð: 48
- Ìû×Ó: 69
- ÔÚÏß: 42.8Сʱ
- ³æºÅ: 1151752
- ×¢²á: 2010-11-20
- ÐÔ±ð: GG
- רҵ: »·¾³ÎÛȾ»¯Ñ§
|
ÕâÑù°¡£¬ÄÇÕâ½á¹ûΨһ²»£¿ÒòΪÏà¹ØÏµÊýÌ«²î£¬²»ÄÜÓ𡣬ÔÙÄâºÏµÄ»°Ïà¹ØÏµÊýÊDz»ÊÇ»ù±¾Éϱ仯²»´ó£¿ ÔÙÂé·³Äã°ïÎÒ°ÑÏÂÃæÁ½×éÒ²ÄâºÏϰɣ¬ÎÒÊǰ´ÄãÉÏÃæµÄ¸ÄµÄ£¬¸ÄÁ˳£Á¿µÄÖµ¸úʵÑéÊý¾Ý£¬//PassParameter d1=d+3+6Õâʽ×Ó²»ÖªÊ²Ã´Òâ˼¾Íû¸Ä µÚ¶þ×飺 Constant b=17499.1, n=0.294,e=21.93,f=25779.61,g=0.7938; ConstStr d=1-g-a; PassParameter d; //PassParameter d1=d+3+6; Variable t,C; ODEFunction C'=(c1*(b*d*C^n-(1200*(e-C)-f-a*b*C^n)))/(-1200-a*b*n*C^(n-1)); Data; 0 0.01 0.5 0.97 1 1.16 2 1.37 3 1.45 5 1.85 7 2.11 9 2.13 11 2.14 µÚÈý×é Constant b=19555.81, n=0.261,e=24.23,f=26467.84,g=0.8573; ConstStr d=1-g-a; PassParameter d; //PassParameter d1=d+3+6; Variable t,C; ODEFunction C'=(c1*(b*d*C^n-(1200*(e-C)-f-a*b*C^n)))/(-1200-a*b*n*C^(n-1)); Data; 0 0 0.5 0.73 1 0.89 2 1.16 3 1.35 5 1.68 7 1.87 9 1.95 11 2.00 |
6Â¥2013-10-14 15:16:12
iceicy99
½ð³æ (СÓÐÃûÆø)
- Ó¦Öú: 0 (Ó×¶ùÔ°)
- ½ð±Ò: 1012.1
- É¢½ð: 48
- Ìû×Ó: 69
- ÔÚÏß: 42.8Сʱ
- ³æºÅ: 1151752
- ×¢²á: 2010-11-20
- ÐÔ±ð: GG
- רҵ: »·¾³ÎÛȾ»¯Ñ§
7Â¥2013-10-14 15:18:15














»Ø¸´´ËÂ¥
iceicy99