| ²é¿´: 1128 | »Ø¸´: 6 | ||
CASC_CHENľ³æ (ÕýʽдÊÖ)
|
[ÇóÖú]
Õâ¸öÍÆµ¼¹ý³ÌÕýÈ·Â𣿣¿
|
|
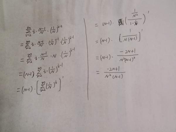
¸÷λ´óÉñ£¬ÕæÐÄÐèÒªÖ¸µã£¬¿ìÓôÃÆËÀÁË¡£ÏÂÁÐÍÆµ¼¹ý³ÌÒÑÖªN>1£¬ÇëÎÊÄÄÀï´íÁË£¿£¿ËùÓеÄÏî¶¼ÊÇÕûÊý£¬½á¹ûºÍ¾¹È»Îª¸º£¿£¿£¿¹òÇ󣡣¡ 1.jpg |
» ²ÂÄãϲ»¶
085700×ÊÔ´Óë»·¾³308Çóµ÷¼Á
ÒѾÓÐ7È˻ظ´
265Çóµ÷¼Á
ÒѾÓÐ5È˻ظ´
279·ÖÇóµ÷¼Á Ò»Ö¾Ô¸211
ÒѾÓÐ3È˻ظ´
Çóµ÷¼Á
ÒѾÓÐ3È˻ظ´
Ò»Ö¾Ô¸¼ªÁÖ´óѧ²ÄÁÏѧ˶321Çóµ÷¼Á
ÒѾÓÐ12È˻ظ´
286·ÖÈ˹¤ÖÇÄÜרҵÇëÇóµ÷¼ÁÔ¸Òâ¿ç¿¼£¡
ÒѾÓÐ3È˻ظ´
329Çóµ÷¼Á
ÒѾÓÐ5È˻ظ´
ÉêÇë»Ø¸åÑÓÆÚÒ»¸öÔ£¬±à¼Í¬ÒâÁË¡£µ«ÏµÍ³ÉϵÄʱ¼äû±ä£¬¸ø±à¼ÓÖдÓʼþÁË£¬Ã»»Ø¸´
ÒѾÓÐ4È˻ظ´
²ÄÁÏѧ˶318Çóµ÷¼Á
ÒѾÓÐ5È˻ظ´
Ò»Ö¾Ô¸Öйúº£Ñó´óѧ£¬ÉúÎïѧ£¬301·Ö£¬Çóµ÷¼Á
ÒѾÓÐ6È˻ظ´
» ±¾Ö÷ÌâÏà¹Ø¼ÛÖµÌùÍÆ¼ö£¬¶ÔÄúͬÑùÓаïÖú:
ÇóÒ»¸ö΢»ý·ÖÍÆµ¼¹ý³Ì
ÒѾÓÐ9È˻ظ´
¸ßµÈÊýѧ»ý·Ö±íÍÆµ¼È«¹ý³Ì
ÒѾÓÐ471È˻ظ´
ÇóÖú£º±ä»¯µç³¡²úÉú´Å³¡µÄ¹«Ê½ B=£¨1/c£©E²æ³Ëv µÄÍÆµ¼¹ý³Ì
ÒѾÓÐ3È˻ظ´
Á¿×ÓÎïÀíÏÁÒåÏà¶ÔÂÛ¶¯Á¿Ê½µÄÀíÂÛ¸ù¾ÝȱʧÐÔ̽ÌÖ£¨ÔÌÖÂÛÌùÌâÄ¿ÒѸÄΪ´Ë£©
ÒѾÓÐ129È˻ظ´
¹ØÓÚµÈìØS(T,H)ÏàͼµÄ¼ÆËã
ÒѾÓÐ5È˻ظ´
ÎïÀí»¯Ñ§¹«Ê½ÍƵ¼¹ý³ÌÈçºÎ½²ÄØ
ÒѾÓÐ5È˻ظ´
¡¾ÇóÖú¡¿¹ØÓÚ¶àµç×ÓµÃʧµÄÑô¼«¹ý³Ì
ÒѾÓÐ14È˻ظ´
¡¾½»Á÷¡¿ËùÓеĶþ´ÎÐ͹þÃܶÙÁ¿¶¼ÄܶԽǻ¯Âð£¿
ÒѾÓÐ11È˻ظ´
Ò»¸ö´óѧ½ÌÊÚ¡¢Éó¸åר¼ÒµÄд×÷¾Ñé
ÒѾÓÐ33È˻ظ´
hank612
ÖÁ×ðľ³æ (ÖøÃûдÊÖ)
- ÊýѧEPI: 14
- Ó¦Öú: 225 (´óѧÉú)
- ½ð±Ò: 14270.6
- É¢½ð: 1055
- ºì»¨: 95
- Ìû×Ó: 1526
- ÔÚÏß: 1375.8Сʱ
- ³æºÅ: 2530333
- ×¢²á: 2013-07-03
- ÐÔ±ð: GG
- רҵ: ÀíÂۺͼÆË㻯ѧ
¡¾´ð°¸¡¿Ó¦Öú»ØÌû
¡ï ¡ï ¡ï ¡ï ¡ï ¡ï ¡ï
¸Ðл²ÎÓ룬ӦÖúÖ¸Êý +1
CASC_CHEN: ½ð±Ò+7, ¡ï¡ï¡ïºÜÓаïÖú 2013-10-06 13:13:20
¸Ðл²ÎÓ룬ӦÖúÖ¸Êý +1
CASC_CHEN: ½ð±Ò+7, ¡ï¡ï¡ïºÜÓаïÖú 2013-10-06 13:13:20
|
Äã·¸µÄÊÇÅ£¶Ù·¸µÄ´íÎó£¬ Èç¹ûÊÇÀ³²¼Äá´ÄÀ´ÁË£¬¾ÍûÕâÎÊÌâ¡£ Ö±µ½ÓÒ°ë±ßµÚÒ»¸öʽ×Ó£¬ÍêÈ«ÕýÈ·¡£ ÎÒ°Ñ·ûºÅ¸Ä³É£º (N-1) * d( 1/N^2 / (1- 1/N) )/ d (1/N), ¾ÍÊÇ˵Ã÷È·Ç󵼵ĶÔÏó£¬ ÓÈÆäµ±x ²»³öÏÖµÄʱºò¡£ È»ºó¼ÌÐø£¬ ÒòΪÄãµÄ˼·ҲÊÇÍêÈ«ÕýÈ·µÄ¡£ |

2Â¥2013-10-06 01:48:20
maolo927
Òø³æ (ÕýʽдÊÖ)
- Ó¦Öú: 15 (СѧÉú)
- ½ð±Ò: 6555.7
- ºì»¨: 2
- Ìû×Ó: 841
- ÔÚÏß: 411Сʱ
- ³æºÅ: 264354
- ×¢²á: 2006-07-08
- ÐÔ±ð: GG
- רҵ: ÐÄÀíѧ
¡¾´ð°¸¡¿Ó¦Öú»ØÌû
¡ï ¡ï
¸Ðл²ÎÓ룬ӦÖúÖ¸Êý +1
CASC_CHEN: ½ð±Ò+2 2013-10-06 13:13:29
¸Ðл²ÎÓ룬ӦÖúÖ¸Êý +1
CASC_CHEN: ½ð±Ò+2 2013-10-06 13:13:29
|
¼Ç 1/N=x,ÔòÓұߵڶþʽΪ£ºx(2x-x*x)/(1-x)^2 ÔÙ½«1/N´ú»Ø¼´¿É¡£ ¶þ¥˵µÃ¶Ô,Òª¶Ô£¨1/N£©Çóµ¼£¬²»ÊǶÔNÇ󵼡£ |
3Â¥2013-10-06 08:27:48
wyydxs
гæ (ÕýʽдÊÖ)
- Ó¦Öú: 15 (СѧÉú)
- ½ð±Ò: 4751.4
- É¢½ð: 2
- ºì»¨: 1
- Ìû×Ó: 312
- ÔÚÏß: 74.5Сʱ
- ³æºÅ: 2213502
- ×¢²á: 2012-12-29
- רҵ: ÊýÂÛ
4Â¥2013-10-06 10:40:46
CASC_CHEN
ľ³æ (ÕýʽдÊÖ)
- Ó¦Öú: 7 (Ó×¶ùÔ°)
- ½ð±Ò: 4091.4
- É¢½ð: 687
- ºì»¨: 7
- Ìû×Ó: 848
- ÔÚÏß: 374.1Сʱ
- ³æºÅ: 2553172
- ×¢²á: 2013-07-19
- ÐÔ±ð: GG
- רҵ: ¼ÆËã»úÌåϵ½á¹¹
5Â¥2013-10-06 13:12:04
CASC_CHEN
ľ³æ (ÕýʽдÊÖ)
- Ó¦Öú: 7 (Ó×¶ùÔ°)
- ½ð±Ò: 4091.4
- É¢½ð: 687
- ºì»¨: 7
- Ìû×Ó: 848
- ÔÚÏß: 374.1Сʱ
- ³æºÅ: 2553172
- ×¢²á: 2013-07-19
- ÐÔ±ð: GG
- רҵ: ¼ÆËã»úÌåϵ½á¹¹
6Â¥2013-10-06 13:12:18
|
7Â¥2013-10-06 13:12:41













»Ø¸´´ËÂ¥