| 查看: 1489 | 回复: 2 | |
[求助]
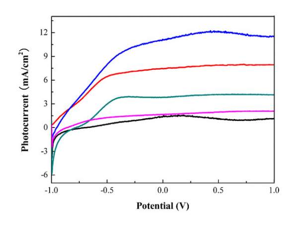
这种I-V曲线如何得到开路电压和短路电流啊
|
|
![]() |
|
|
|
|
|
2楼2013-09-04 07:10:22
|
|
![]() |
|
|
3楼2013-09-04 09:01:55
|
|













回复此楼