| 查看: 1078 | 回复: 5 | ||
[求助]
光阳极的光伏曲线
|
|
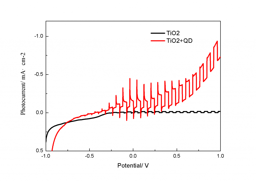
图中两线分别是附有量子点的TiO2和单一TiO2的I-V曲线,它是对光阳极在光照条件下施加偏压,然后每隔一段时间挡光,记录光电流的变化。那这个I-V曲线可以说明量子点的加入能提高光电流吗?还有,为什么附有量子点的TiO2的曲线到正电位之后会上升呢? 1.png |
» 猜你喜欢
真诚求助:手里的省社科项目结项要求主持人一篇中文核心,有什么渠道能发核心吗
已经有8人回复
寻求一种能扛住强氧化性腐蚀性的容器密封件
已经有5人回复
论文投稿,期刊推荐
已经有6人回复
请问哪里可以有青B申请的本子可以借鉴一下。
已经有4人回复
孩子确诊有中度注意力缺陷
已经有14人回复
请问下大家为什么这个铃木偶联几乎不反应呢
已经有5人回复
请问有评职称,把科研教学业绩算分排序的高校吗
已经有5人回复
2025冷门绝学什么时候出结果
已经有3人回复
天津工业大学郑柳春团队欢迎化学化工、高分子化学或有机合成方向的博士生和硕士生加入
已经有4人回复
康复大学泰山学者周祺惠团队招收博士研究生
已经有6人回复
» 本主题相关价值贴推荐,对您同样有帮助:
请教下不锈钢阳极极化曲线的测定方法
已经有20人回复
求助:怎么测试阳极极化曲线和阴极极化曲线
已经有6人回复
用CHI660如何测试阳极极化曲线?
已经有22人回复
【求助】如何根据阳极极化曲线判断金属的腐蚀性能
已经有6人回复
【讨论】如何通过极化曲线判断是阳极控制还是阴极控制,或阴阳极联合控制、扩散控制
已经有3人回复
2楼2012-12-19 20:36:37
3楼2012-12-20 00:13:30
轩辕世纪
金虫 (正式写手)
- 应助: 71 (初中生)
- 金币: 1120.2
- 散金: 18
- 红花: 4
- 帖子: 523
- 在线: 172.9小时
- 虫号: 1171617
- 注册: 2010-12-17
- 性别: GG
- 专业: 凝聚态物性 II :电子结构
【答案】应助回帖
★ ★ ★ ★ ★ ★ ★ ★ ★ ★ ★ ★ ★ ★ ★ ★ ★ ★ ★ ★ ★
感谢参与,应助指数 +1
nofrunolif: 金币+1, 鼓励交流 2012-12-20 20:29:54
yanjessica: 金币+20, ★★★★★最佳答案, 多谢 2012-12-21 14:43:19
感谢参与,应助指数 +1
nofrunolif: 金币+1, 鼓励交流 2012-12-20 20:29:54
yanjessica: 金币+20, ★★★★★最佳答案, 多谢 2012-12-21 14:43:19
楼主,从图像来看的话,确实量子点的加入,光电流提高了。因为是每隔一段时间挡光,记录光电流的变化,所以在偏压为零时,暗条件和光照条件偏离的越大,说明光生电流越高的。从图像中很明显可以看出加入量子点的光电流要大。至于到正电位之后会上升,这才是正常的,因为太阳能电池等效为一个二极管并联一个电流源,所以正电位之后应该会指数上升的。没加量子点的这个电池性能是很差的,串联电阻非常高,对光也不是太敏感。![]() |

4楼2012-12-20 13:16:47
5楼2012-12-20 20:21:33
轩辕世纪
金虫 (正式写手)
- 应助: 71 (初中生)
- 金币: 1120.2
- 散金: 18
- 红花: 4
- 帖子: 523
- 在线: 172.9小时
- 虫号: 1171617
- 注册: 2010-12-17
- 性别: GG
- 专业: 凝聚态物性 II :电子结构

6楼2012-12-21 13:06:24













回复此楼
