| 查看: 464 | 回复: 0 | ||
[求助]
maple或者 Mathematica 求解方程
|
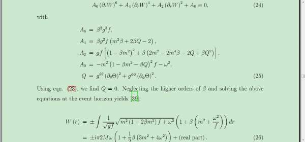
求解一方程,如图(24),文中最后结果要去掉/beta 的高阶小量才能得到(26),我不知道怎么去呀,结果一大堆,完全没法看,求那位高手用maple或者 Mathematica 编个程序出来呀![]() 未命名.jpg |
» 猜你喜欢
277求调剂 数一104分
已经有7人回复
288环境专硕,求调材料方向
已经有16人回复
277工科求调剂
已经有8人回复
266求调剂
已经有19人回复
环境专硕调剂
已经有3人回复
081200-11408-276学硕求调剂
已经有5人回复
材料调剂
已经有13人回复
工科 22408 267求推荐
已经有4人回复
305求调剂
已经有3人回复
270分求调剂
已经有5人回复
找到一些相关的精华帖子,希望有用哦~
寻求伙伴一起自学偏微分方程
已经有27人回复
matlab 解非线性偏微分方程组
已经有6人回复
求助——求解三元二次多项式方程组
已经有9人回复
用maple作偏微分方程解的三维图形
已经有6人回复
mathematica软件
已经有9人回复
高手进!这个函数的曲线如何用mathematica画……
已经有5人回复
Mathematica问题求助
已经有7人回复
求组!求解一个微分方程组的符号解,并画出图像!!!
已经有7人回复
数学物理方程求解!(带边界条件的偏微分方程)
已经有13人回复
用Wofram Mathematica解方程的问题
已经有9人回复
急切求助!一个mathematica求解一个简单一元非线性方程的问题
已经有4人回复
数学软件maple输入时出了问题
已经有3人回复
mathematica 编程求助
已经有9人回复
【求助】MATLAB、Mathematica和Maple这三大数学软件的优缺点
已经有41人回复
【求助】求助mathematica软件解方程,见图片
已经有5人回复
【求助】Mathematica怎么对不等式解的最小值集合作图?
已经有8人回复
【求助】复超越方程的解法
已经有19人回复
科研从小木虫开始,人人为我,我为人人















回复此楼
点击这里搜索更多相关资源