| 查看: 1468 | 回复: 7 | ||
443708933木虫 (著名写手)
|
[求助]
作用量原理的两个问题
|
|
费曼写的作用量个路径积分里的两个小问题。第一个问题,我直接从拉格朗日方程入手,对最小L积分,然后取x=xa,但是想想,既然xa可以,xb不就也可以。所以想法不对,提示说从2-6出发。第二个问题的提示没看懂是什么意思,恳请理解的同学指点。 |
» 猜你喜欢
孩子确诊有中度注意力缺陷
已经有14人回复
三甲基碘化亚砜的氧化反应
已经有4人回复
请问下大家为什么这个铃木偶联几乎不反应呢
已经有5人回复
请问有评职称,把科研教学业绩算分排序的高校吗
已经有5人回复
2025冷门绝学什么时候出结果
已经有3人回复
天津工业大学郑柳春团队欢迎化学化工、高分子化学或有机合成方向的博士生和硕士生加入
已经有4人回复
康复大学泰山学者周祺惠团队招收博士研究生
已经有6人回复
AI论文写作工具:是科研加速器还是学术作弊器?
已经有3人回复
论文投稿,期刊推荐
已经有4人回复
请问2026国家基金面上项目会启动申2停1吗
已经有5人回复
» 本主题相关价值贴推荐,对您同样有帮助:
生物材料吸附六价铬的两个问题?
已经有4人回复
第一性原理如何描述化学反应动力学?
已经有21人回复
【求助】请教两个高中化学的问题(已经请教了很多高中化学同行了)
已经有79人回复
【交流】太阳能电池原理新解
已经有42人回复
walk1997
金虫 (著名写手)
- 物理EPI: 1
- 应助: 1 (幼儿园)
- 金币: 4676.2
- 红花: 22
- 帖子: 1066
- 在线: 798.1小时
- 虫号: 416039
- 注册: 2007-06-29
- 性别: GG
- 专业: 粒子物理学和场论
2楼2013-06-15 18:43:53
【答案】应助回帖
★ ★ ★ ★ ★ ★ ★ ★ ★ ★ ★ ★ ★ ★ ★ ★ ★ ★
感谢参与,应助指数 +1
443708933: 金币+8, ★★★很有帮助 2013-06-17 09:33:35
443708933: 金币+2, ★★★★★最佳答案 2013-06-17 09:34:07
华丽的飘过: 金币+8, 3q 2013-06-23 01:49:23
感谢参与,应助指数 +1
443708933: 金币+8, ★★★很有帮助 2013-06-17 09:33:35
443708933: 金币+2, ★★★★★最佳答案 2013-06-17 09:34:07
华丽的飘过: 金币+8, 3q 2013-06-23 01:49:23
|
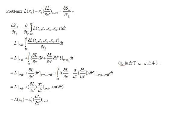
记号看不懂,建议楼主下次把记号说明附带上去。为此特地去下了本费曼的书,幸好楼主给出书名。不过是中文的,Y的,中文版公式2-13还打印错的,顿时蛋碎一地。 我是这么推到的。同时还有些问题。 首先几个概念,(楼主应该把这几个概念打出来的,不然看不懂啊) (1)x(t)满足x(ta)=xa;x(tb)=xb; (2)作用量S(t,x,x'),Scl是x满足Lagrange方程对应的S值,此时S(ta,tb,xa,xb)=L(ta,tb,xa,xb,t)在ta到tb上的积分; 第一问:(2-11)从右到左推到 注意到S(ta,tb,xa,xb)和S(t,x,x')的关系,x是体分布的,xa是端点分布。detla(x)【代表x的变分】和d(xa)【代表x的微分】是从属关系,因此依据提示利用(2-6)S的一阶变分式。 以xa为变量为例:S(ta,tb,xa,xb)应应该包含(2-6)的2项,第一项是关于d(xa)的线性项,系数就是我们要求的;第一项是关于detla(x)的线性积分式,次项是d(xa)的“高阶无穷小”,注意到x满足Lagrange方程,x的微小扰动对于方程也是微小的。因此求偏微分就是所求的结果。 第二问:(2-13)从右到左推到,关键在第二部分,使用带变量的积分式的求导公式。 注意到S(ta,tb,xa,xb)和L(ta,tb,xa,xb,t)(注意含有时间t)的关系,对S(ta,tb,xa,xb)关于tb求导分为两部分; 第一部分,关于积分域求导,即L(ta,tb,xa,xb,t),当t=tb的值。应该就是L(xb); 第二部分,注意到tb与x(t)中的t的地位恒同。为什么?求极值曲线时,我们其实再求解两点边值问题,然后你懂的。因此第二部分又包含两部分, integral {(DL/Dx)* detla(x‘) + (DL/Dx’)*detla(x‘‘)},分部积分,就得到所要的结果。得注意下xb的导数其实就是d/dx {detla(x)} 在tb处的取值。 推到的时候会发现个问题,(朗道说过“物理中所谓的数学都是自欺欺人的”这句话吗?? )经典Newton方程求解的是初值问题,给出坐标及速度,解的唯一性一般是抗抗的; 最小作用原理,给出两点边值问题,给出2个坐标;Y的,对于后则在数学上解可能不唯一,可能无解,可能有无穷个解。因此对应的Scl是不是不唯一了。 |

3楼2013-06-15 22:22:53
|
打了个电话,没注意审查,错误的记号一大堆 detla(x)=delta(x),d(xa)=【delta(x)|t=ta】; 【第一项是关于detla(x)的线性积分式,次项是d(xa)的“高阶无穷小”】应该是 【第二项是关于delta(x)的线性积分式,因为包含Lagrange方程,所以是delta(x)的“高阶无穷小”,因而对于d(xa)也是小的】 d/dx {detla(x)}应该改为d/dt {delta(x)} integral 是ta到tb的定积分,DL/Dx是偏导数, 分布积分是关于delta(x‘‘)做的,delta(x‘)不动它,这样能再次得到Lagrange方程,然后再消去 最后,两点边值问题是对于x(ta)=xa;x(tb)=xb的Lagrange方程而言 |

4楼2013-06-15 23:18:25
443708933
木虫 (著名写手)
- 应助: 2 (幼儿园)
- 金币: 3332.9
- 红花: 1
- 帖子: 1047
- 在线: 61.6小时
- 虫号: 1446064
- 注册: 2011-10-16
- 性别: GG
- 专业: 粒子物理学和场论
5楼2013-06-17 10:56:54
walk1997
金虫 (著名写手)
- 物理EPI: 1
- 应助: 1 (幼儿园)
- 金币: 4676.2
- 红花: 22
- 帖子: 1066
- 在线: 798.1小时
- 虫号: 416039
- 注册: 2007-06-29
- 性别: GG
- 专业: 粒子物理学和场论
6楼2013-06-17 12:00:33

7楼2013-06-17 15:39:17
8楼2016-07-12 17:01:36













回复此楼
)