| ²é¿´: 2553 | »Ø¸´: 31 | ||
| ±¾Ìû²úÉú 1 ¸ö ¼ÆËãÇ¿Ìû £¬µã»÷ÕâÀï½øÐв鿴 | ||
nagamiľ³æ (ÕýʽдÊÖ)
|
¡¾´ð°¸¡¿Ó¦Öú»ØÌû
¡ï ¡ï
csgt0: ½ð±Ò+2, лл 2013-06-19 10:20:53 csgt0: ¼ÆËãÇ¿Ìû+1, »ý¼«¹ÄÀøÉî¶ÈÌÖÂÛ 2013-06-21 09:55:03 |
|
![]() |
||
|
21Â¥2013-06-18 18:25:59
|
|
|
yuahuaгæ (СÓÐÃûÆø)
|
|
|
|
22Â¥2013-06-19 16:49:30
|
|
|
nagamiľ³æ (ÕýʽдÊÖ)
|
||
![]() |
||
|
23Â¥2013-06-19 18:41:39
|
|
|
yuahuaгæ (СÓÐÃûÆø)
|
||
|
24Â¥2013-06-19 20:58:51
|
|
|
nagamiľ³æ (ÕýʽдÊÖ)
|
|
|
![]() |
||
|
25Â¥2013-06-19 21:12:19
|
|
|
yuahuaгæ (СÓÐÃûÆø)
|
||
|
26Â¥2013-06-19 21:41:35
|
|
|
nagamiľ³æ (ÕýʽдÊÖ)
|
||
![]() |
||
|
27Â¥2013-06-19 22:51:44
|
|
|
yuahuaгæ (СÓÐÃûÆø)
|
||
|
28Â¥2013-06-20 09:30:41
|
|
|
yuahuaгæ (СÓÐÃûÆø)
|
||
|
29Â¥2013-07-01 16:43:12
|
|
|
yuahuaгæ (СÓÐÃûÆø)
|
||
|
30Â¥2013-07-01 16:47:43
|
|
|












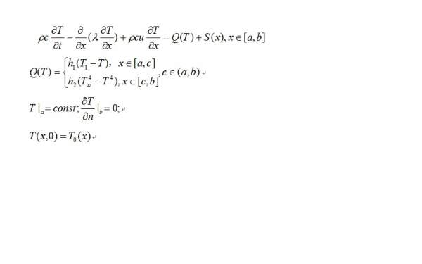
£¬Ï°àºó²Î¿¼ÄãµÄÄ£ÐÍËæ±ã۵Ķþά£¬Ò»Î¬µÄÎÒ¾õµÃÄãѹÁ¦É½´ó£¬¶þάµÄ¿¼ÑéÄãµÄ±à³Ì£¬ËäÈ»ÔÚcomsolÀïºÜÈÝÒ׸㣬Äã¿ÉÒÔÈ¥ÊÔÊÔ¡£µ«ÊÇÎÒ¾õµÃÁ˽ⷽ³Ì±¾Éí±ÈͬÈí¼þ¸üÖµµÃ»¨Ê±¼ä
»Ø¸´´ËÂ¥
ºÃµÄ£¬ÎÒÓÊÏäÊÇ