24小时热门版块排行榜    

Znn3bq.jpeg
查看: 2648  |  回复: 31
本帖产生 1 个 计算强帖 ,点击这里进行查看
当前只显示满足指定条件的回帖,点击这里查看本话题的所有回帖

nagami

木虫 (正式写手)

【答案】应助回帖

★ ★
csgt0: 金币+2, 谢谢 2013-06-19 10:20:53
csgt0: 计算强帖+1, 积极鼓励深度讨论 2013-06-21 09:55:03
引用回帖:
20楼: Originally posted by yuahua at 2013-06-18 10:57:54
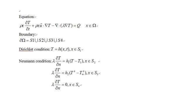
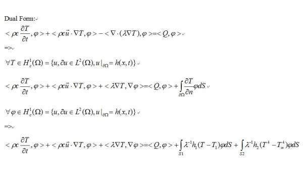
我总结了一下,您看看是不是,见下图。

1.jpg

2.jpg
...

大家都是PDEs同仁,再帮你一把,下班后参考你的模型随便弄的二维,一维的我觉得你压力山大,二维的考验你的编程,虽然在comsol里很容易搞,你可以去试试。但是我觉得了解方程本身比同软件更值得花时间
将PDE转化为状态空间后用matlab求解,结果竟然发散了
model.jpg


将PDE转化为状态空间后用matlab求解,结果竟然发散了-1
sol1.jpg


将PDE转化为状态空间后用matlab求解,结果竟然发散了-2
sol2.jpg


将PDE转化为状态空间后用matlab求解,结果竟然发散了-3
无辐射项.png

女靠衣装;男靠金装
21楼2013-06-18 18:25:59
已阅   回复此楼   关注TA 给TA发消息 送TA红花 TA的回帖

智能机器人

Robot (super robot)

我们都爱小木虫

找到一些相关的精华帖子,希望有用哦~

科研从小木虫开始,人人为我,我为人人
相关版块跳转 我要订阅楼主 yuahua 的主题更新
最具人气热帖推荐 [查看全部] 作者 回/看 最后发表
[基金申请] 国自然面上和省基金B类撒花 +16 花田半亩~白 2026-04-21 16/800 2026-04-23 03:04 by 魅力紫翼
[考研] 有没有学校收留 +3 蒋昌鹏qtj 2026-04-20 3/150 2026-04-22 20:25 by 学员JpLReM
[考研] 312求调剂 +3 山河似你温柔 2026-04-22 3/150 2026-04-22 20:17 by 学员JpLReM
[考博] 华师大读博 +3 xq83 2026-04-22 5/250 2026-04-22 10:42 by xq83
[教师之家] 又一批高校组建人工智能学院 师资行吗 不是骗人吗 +5 yexuqing 2026-04-19 5/250 2026-04-22 10:01 by easeheart
[论文投稿] 急需审稿人!!! +3 陆小果画大饼 2026-04-21 3/150 2026-04-21 23:54 by jzy_123456
[考博] 申博/考博 +4 啃面包的小书虫 2026-04-17 8/400 2026-04-21 16:26 by 啃面包的小书虫
[考研] 295分求调剂 +6 ?要上岸? 2026-04-17 6/300 2026-04-21 08:18 by Equinoxhua
[考研] 085600材料与化工调剂 5+3 孜孜不倦2002 2026-04-19 6/300 2026-04-20 21:25 by babero
[论文投稿] 有没有接收比较快的sci期刊呀,最好在一个月之内的,研三孩子求毕业 20+4 之护着 2026-04-16 7/350 2026-04-20 15:45 by 豆豆7758
[考研] 337求调剂 +3 jyz04 2026-04-18 3/150 2026-04-20 12:24 by 研可安
[考研] 求计算机方向调剂 +3 Toffee2 2026-04-16 6/300 2026-04-19 22:37 by ll叶
[考研] 294求调剂 +8 淡然654321 2026-04-17 9/450 2026-04-19 19:51 by Equinoxhua
[考研] 304求调剂 +8 castLight 2026-04-16 8/400 2026-04-19 17:14 by 中豫男
[考研] 求调剂 +6 苦命人。。。 2026-04-18 7/350 2026-04-19 16:27 by 中豫男
[考研] 接受任何调剂 +6 也就是栗子 2026-04-17 7/350 2026-04-18 17:20 by 涵竹刘
[考研] 收到复试调剂但是去不了 +8 小蜗牛* 2026-04-16 8/400 2026-04-18 11:15 by zixin2025
[考研] 260求调剂 +4 Zyt1314520.. 2026-04-17 5/250 2026-04-18 08:28 by babysonlkd
[有机交流] 二苯甲酮酸类衍生物 50+3 小白爱主人 2026-04-17 6/300 2026-04-17 18:47 by kf2781974
[考研] 322求调剂 +6 tekuzu 2026-04-17 6/300 2026-04-17 13:48 by Espannnnnol
信息提示
请填处理意见