版块导航
正在加载中...
客户端APP下载
论文辅导
申博辅导
登录
注册
帖子
帖子
用户
本版
应《网络安全法》要求,自2017年10月1日起,未进行实名认证将不得使用互联网跟帖服务。为保障您的帐号能够正常使用,请尽快对帐号进行手机号验证,感谢您的理解与支持!
24小时热门版块排行榜
>
论坛更新日志
(3587)
>
文献求助
(401)
>
导师招生
(239)
>
虫友互识
(223)
>
休闲灌水
(213)
>
考博
(112)
>
论文投稿
(85)
>
博后之家
(82)
>
绿色求助(高悬赏)
(52)
>
硕博家园
(51)
>
招聘信息布告栏
(50)
>
基金申请
(44)
>
有机交流
(44)
>
考研
(42)
>
论文道贺祈福
(22)
>
找工作
(22)
小木虫论坛-学术科研互动平台
»
材料区
»
微米和纳米
»
合成表征
»
大家帮我看看SBA16合成出来了吗
4
1/1
返回列表
查看: 818 | 回复: 3
只看楼主
@他人
存档
新回复提醒
(忽略)
收藏
在APP中查看
sunflower168
铁虫
(初入文坛)
应助: 1
(幼儿园)
金币: 576.6
散金: 2
帖子: 33
在线: 171.4小时
虫号: 1985719
注册: 2012-09-08
专业: 催化化学
[
求助
]
大家帮我看看SBA16合成出来了吗
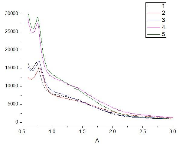
各位虫友帮帮忙,刚做了一批SBA16,进行了XRD和N2吸脱附曲线表征。以下是结果,主要觉得测得小角峰不明显,大家帮忙看看,这个算做成功了吗?
SBA16.jpg
等温曲线.jpg
孔径分布.jpg
回复此楼
» 本帖附件资源列表
欢迎监督和反馈:小木虫仅提供交流平台,不对该内容负责。
本内容由用户自主发布,如果其内容涉及到知识产权问题,其责任在于用户本人,如对版权有异议,请联系邮箱:xiaomuchong@tal.com
附件 1 :
SBA16.opj
2013-05-18 20:01:36, 177.48 K
附件 2 :
SBA16.jpg
2013-05-18 20:02:57, 35.19 K
» 收录本帖的淘帖专辑推荐
SBA-16相关
» 猜你喜欢
请问对标matlab的开源软件octave的网站https://octave.org为什么打不开?
已经有1人回复
求助两种BiOBr晶体的CIF文件(卡片号为JCPDS 09-0393与JCPDS 01-1004 )
已经有0人回复
无机化学论文润色/翻译怎么收费?
已经有114人回复
哈尔滨工程大学材化学院国家级青年人才-26年硕士招生
已经有0人回复
求助Fe-TCPP、Zn-TCPP的CIF文件,或者CCDC号
已经有0人回复
河北大学-26年秋季入学申请考核制-化学博士1名
已经有0人回复
XPS/?λXPS
已经有0人回复
» 本主题相关价值贴推荐,对您同样有帮助:
无模板剂法合成的纳米zsm-5用在MTO上
已经有19人回复
设计了3条引物,请大家帮我看看是否可用,两个哪个好一些呢?谢谢了!
已经有12人回复
大家帮我看看这句话对不对?
已经有2人回复
求教西弗碱的合成!~
已经有10人回复
石墨烯与氧化石墨的XRD,石墨烯是否合成成功?
已经有48人回复
大家给我说说成都有机所的不对称合成在国内排名第几吖
已经有9人回复
水热合成TiO2纳米管的问题
已经有14人回复
女,小硕,有机合成专业毕业,不想干本行了,想在湖南湘潭工作,麻烦大家帮我推荐下。
已经有13人回复
大家帮我看看这个反应用什么条件能够提高收率
已经有24人回复
聚醚多元醇羟值越高越好吗
已经有34人回复
这句话什么意思?我该怎么修改好呢?急啊!
已经有6人回复
SBA-15合成中HCl的作用是什么?可以用柠檬酸代替吗?
已经有4人回复
sonogashira反应合成炔醛失败 大家能否帮我找下原因
已经有16人回复
关于波生坦中间体的合成,请大家帮忙看看吧
已经有14人回复
一个合成,不知道为什么做不出来,请大家帮帮忙。。。
已经有38人回复
【求助】一个关于紫杉醇前药的合成问题
已经有3人回复
【求助】这个XRD图怎么分析?请高手帮忙看看
已经有12人回复
【求助】大家帮我推荐一些比较好的胶体化学的教材吧,跟合成纳米粒胶束有关的
已经有9人回复
1楼
2013-05-18 20:05:44
已阅
回复此楼
关注TA
给TA发消息
送TA红花
TA的回帖
dreambubble
新虫
(初入文坛)
应助: 24
(小学生)
金币: 329.5
帖子: 46
在线: 6.8小时
虫号: 2266652
注册: 2013-01-29
性别: GG
专业: 电化学
【答案】应助回帖
★ ★ ★ ★ ★
感谢参与,应助指数 +1
sunflower168: 金币+5
2013-05-20 10:05:56
不是很好 要求不高也可以 但是到时候拍TEM可能比较难找到大片有序的区域
最好再做两次 提高一下有序性
赞
一下
回复此楼
2楼
2013-05-18 22:38:40
已阅
回复此楼
关注TA
给TA发消息
送TA红花
TA的回帖
sunflower168
铁虫
(初入文坛)
应助: 1
(幼儿园)
金币: 576.6
散金: 2
帖子: 33
在线: 171.4小时
虫号: 1985719
注册: 2012-09-08
专业: 催化化学
引用回帖:
2楼
:
Originally posted by
dreambubble
at 2013-05-18 22:38:40
不是很好 要求不高也可以 但是到时候拍TEM可能比较难找到大片有序的区域
最好再做两次 提高一下有序性
谢谢,主要从小角XRD看出来的吗?怎么样可以提高有序性啊?
赞
一下
回复此楼
3楼
2013-05-19 08:00:32
已阅
回复此楼
关注TA
给TA发消息
送TA红花
TA的回帖
yuyang127
新虫
(知名作家)
应助: 0
(幼儿园)
金币: 3106.3
散金: 720
红花: 6
帖子: 8303
在线: 330.3小时
虫号: 2103698
注册: 2012-11-03
性别:
MM
专业: 化学工程及工业化学
求交流啊,能问下怎么合成的吗?最近一直再做没有成功过
赞
一下
回复此楼
4楼
2014-03-03 14:41:42
已阅
回复此楼
关注TA
给TA发消息
送TA红花
TA的回帖
相关版块跳转
材料综合
材料工程
微米和纳米
晶体
金属
无机非金属
生物材料
功能材料
复合材料
我要订阅楼主
sunflower168
的主题更新
4
1/1
返回列表
如果回帖内容含有宣传信息,请如实选中。否则帐号将被全论坛禁言
普通表情
龙
兔
虎
猫
百度网盘
|
360云盘
|
千易网盘
|
华为网盘
在新窗口页面中打开自己喜欢的网盘网站,将文件上传后,然后将下载链接复制到帖子内容中就可以了。
信息提示
关闭
请填处理意见
关闭
确定