| 查看: 1588 | 回复: 5 | ||
[求助]
关于ICP实验数据的问题
|
|
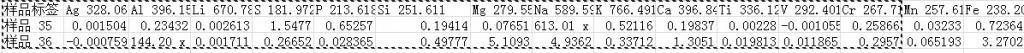
最近做了一个ICP实验,测定铝合金中各种元素的含量,得到如下实验数据 Ag 328.068 Al 396.152 Li 670.783 S 181.972 P 213.618 -0.000759 uv 144.20 x 0.001711 0.26652 0.028365 完全不知道是什么意思,该怎么处理这些数据呢,求高手解答。 |
» 猜你喜欢
三甲基碘化亚砜的氧化反应
已经有4人回复
请问下大家为什么这个铃木偶联几乎不反应呢
已经有5人回复
请问有评职称,把科研教学业绩算分排序的高校吗
已经有5人回复
孩子确诊有中度注意力缺陷
已经有12人回复
2025冷门绝学什么时候出结果
已经有3人回复
天津工业大学郑柳春团队欢迎化学化工、高分子化学或有机合成方向的博士生和硕士生加入
已经有4人回复
康复大学泰山学者周祺惠团队招收博士研究生
已经有6人回复
AI论文写作工具:是科研加速器还是学术作弊器?
已经有3人回复
论文投稿,期刊推荐
已经有4人回复
硕士和导师闹得不愉快
已经有13人回复
» 本主题相关价值贴推荐,对您同样有帮助:
关于土壤中类金属砷的消解和检测问题
已经有6人回复
在写的一篇文章实验数据与之前发表的文章有部分重复,该怎么写啊?
已经有10人回复
如何比较两个实验数据的差异性
已经有9人回复
请做过MTT或CCK-8实验的战友前来指导,我想请教一些关于数据处理的问题
已经有9人回复
【求助】请教实验数据处理和分析!!!
已经有5人回复
利用DPPH测定抗氧化性的实验数据处理问题哦
已经有10人回复
退修时发现实验数据有问题怎么办?
已经有9人回复
实验数据的数学模型构建、曲线拟合方面问题求助
已经有6人回复
ICP-OES测定元素时关于谱线选择及干扰问题
已经有3人回复
关于没有实验数据的论文
已经有3人回复
ICP分析中降低检出限实验的注意事项
已经有8人回复
【求助】ICP的数据分析判定及日常维护(如积炭等的处理)
已经有3人回复
实验数据与模型预测的理论值有偏差?
已经有3人回复
【求助】细胞毒性实验数据的取舍
已经有12人回复
【求助】实验数据分析问题
已经有6人回复
雨梦无声
金虫 (著名写手)
- 应助: 451 (硕士)
- 金币: 1571.1
- 散金: 8792
- 红花: 41
- 帖子: 1728
- 在线: 740.9小时
- 虫号: 1830549
- 注册: 2012-05-23
- 性别: GG
- 专业: 分析化学
2楼2013-05-16 21:53:12
ghost5524
金虫 (正式写手)
- 应助: 44 (小学生)
- 金币: 855.2
- 散金: 34
- 帖子: 379
- 在线: 82.8小时
- 虫号: 1135205
- 注册: 2010-10-30
- 性别: GG
- 专业: 色谱分析

3楼2013-05-16 22:00:36
4楼2013-05-17 08:29:11
5楼2013-05-17 08:42:24
ghost5524
金虫 (正式写手)
- 应助: 44 (小学生)
- 金币: 855.2
- 散金: 34
- 帖子: 379
- 在线: 82.8小时
- 虫号: 1135205
- 注册: 2010-10-30
- 性别: GG
- 专业: 色谱分析

6楼2013-05-17 17:50:15














回复此楼