版块导航
正在加载中...
客户端APP下载
论文辅导
申博辅导
登录
注册
帖子
帖子
用户
本版
应《网络安全法》要求,自2017年10月1日起,未进行实名认证将不得使用互联网跟帖服务。为保障您的帐号能够正常使用,请尽快对帐号进行手机号验证,感谢您的理解与支持!
24小时热门版块排行榜
>
论坛更新日志
(505)
>
考博
(18)
>
虫友互识
(15)
>
论文道贺祈福
(11)
>
教师之家
(11)
>
公派出国
(11)
>
基金申请
(10)
>
论文投稿
(10)
>
博后之家
(9)
>
考研
(9)
>
导师招生
(8)
>
找工作
(7)
>
硕博家园
(5)
>
外文书籍求助
(3)
>
访问学者
(1)
>
海外博后
(1)
小木虫论坛-学术科研互动平台
»
生物医药区
»
药学
»
药物化学
»
求高手赐结构命名,有结构,急,在线等,谢谢!
2
1/1
返回列表
查看: 287 | 回复: 1
只看楼主
@他人
存档
新回复提醒
(忽略)
收藏
在APP中查看
BJFWEE
铜虫
(小有名气)
应助: 4
(幼儿园)
金币: 1321
红花: 1
帖子: 116
在线: 39.6小时
虫号: 1495280
注册: 2011-11-16
性别:
MM
专业: 中药药效物质
[
求助
]
求高手赐结构命名,有结构,急,在线等,谢谢!
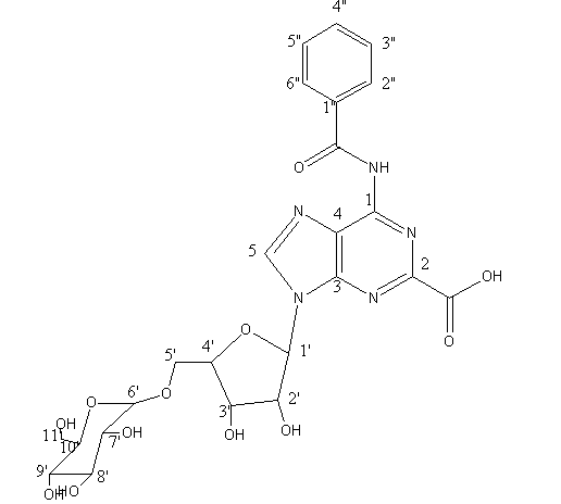
结构如下,基本母核为腺苷类,请大家帮忙命名,哭求,谢谢
Y-20.png
回复此楼
» 猜你喜欢
招博士
已经有5人回复
青椒八年已不青,大家都被折磨成啥样了?
已经有6人回复
救命帖
已经有9人回复
青年基金C终止
已经有3人回复
26申博求博导推荐-遥感图像处理方向
已经有4人回复
限项规定
已经有7人回复
西南交通大学国家级人才团队2026年博士研究生招生(考核制)—机械、材料、力学方向
已经有3人回复
英文综述是否需要润色及查重
已经有5人回复
为什么nbs上溴 没有产物点出现呢
已经有9人回复
» 本主题相关价值贴推荐,对您同样有帮助:
求高手,已知化合物结构式,怎么查询名字等相关信息
已经有4人回复
螺旋桨划分非结构网格,质量非常不理想,求懂的交流指导,谢谢
已经有7人回复
有机化学结构式命名求助
已经有9人回复
scifinder 结构检索(急急急,在线等高手请教)
已经有3人回复
请问这个化合物如何命名?化合物结构见图,谢谢!
已经有7人回复
想问下下面几个分子结构式怎么命名,俗名是什么?
已经有5人回复
fluent计算发散,仅多了一个烟气回流的结构,求高手指点。
已经有5人回复
请问下铁素体的晶体结构!!!很急很重要!!!谢谢!!!
已经有4人回复
请问什么网站可以查询药品结构式的,谢谢了
已经有6人回复
附件是一个结构式,怎样命名?
已经有3人回复
微观结构 对 其力学性能的影响 的问题,非常感谢。急!
已经有5人回复
这类结构该怎么命名呢?怪!!
已经有9人回复
【急求助】Raman、PL对材料结构的分析
已经有11人回复
急求高斯计算金属团簇怎么得到最稳定结构的问题,急....非常非常谢谢谢谢谢谢....
已经有15人回复
求结构式的命名!谢谢!
已经有5人回复
【求助】化学结构式命名
已经有5人回复
【求助】结构式命名(可以Chemdraw识别并转换成结构)
已经有6人回复
【求助】求问这个结构式的命名
已经有4人回复
求助一段摘要的英文翻译,29日前有效,谢谢!紧急!主要是是句式结构,名词不翻译也可
已经有3人回复
【求助】高分子结构的命名
已经有3人回复
【求助】求助----这个结构式怎么命名啊,最好有CAS号~!
已经有5人回复
【求助】结构式的命名
已经有4人回复
【求助】求助各位药化高手:药物结构式如何记忆?
已经有30人回复
【求助】20金币求助循环伏安法测微乳结构实验步骤,急~~~
已经有4人回复
1楼
2013-05-12 22:14:47
已阅
回复此楼
关注TA
给TA发消息
送TA红花
TA的回帖
apple_chen15
新虫
(初入文坛)
应助: 1
(幼儿园)
金币: 87
帖子: 9
在线: 6.8小时
虫号: 2461440
注册: 2013-05-13
性别: GG
专业: 中药药效物质
【答案】应助回帖
感谢参与,应助指数 +1
7-(α-1,5-吡喃葡萄糖2H,3H,4H,5H呋喃甲基苷基)-4-苯甲酰氨基腺苷
赞
一下
回复此楼
2楼
2013-05-14 10:08:14
已阅
回复此楼
关注TA
给TA发消息
送TA红花
TA的回帖
相关版块跳转
新药研发
药学
药品生产
分子生物
微生物
动植物
生物科学
医学
我要订阅楼主
BJFWEE
的主题更新
2
1/1
返回列表
如果回帖内容含有宣传信息,请如实选中。否则帐号将被全论坛禁言
普通表情
龙
兔
虎
猫
百度网盘
|
360云盘
|
千易网盘
|
华为网盘
在新窗口页面中打开自己喜欢的网盘网站,将文件上传后,然后将下载链接复制到帖子内容中就可以了。
信息提示
关闭
请填处理意见
关闭
确定