| 查看: 532 | 回复: 3 | |
djl2006至尊木虫 (正式写手)
|
[求助]
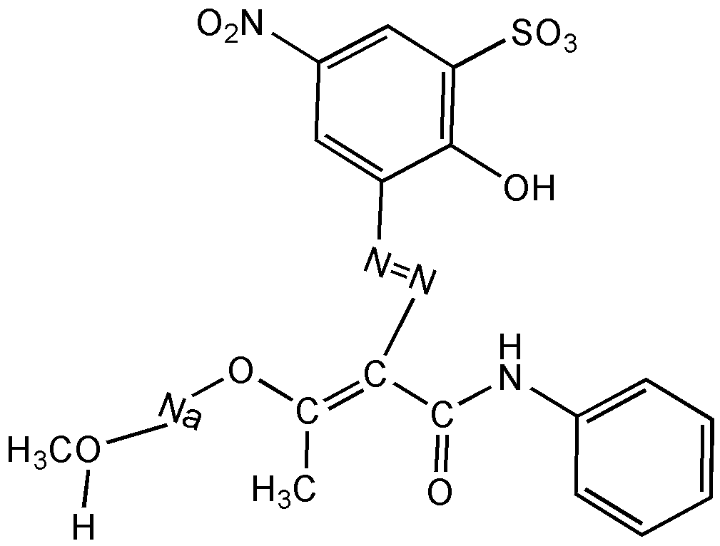
附件是一个结构式,怎样命名?
|
|
|
|
|
2楼2011-09-02 18:54:55
|
|
djl2006至尊木虫 (正式写手)
|
|
|
3楼2011-09-03 07:25:44
|
|
djl2006至尊木虫 (正式写手)
|
|
|
4楼2011-09-04 18:19:19
|
|














回复此楼