| 查看: 952 | 回复: 3 | ||
[求助]
求lammps in 文件
|
|
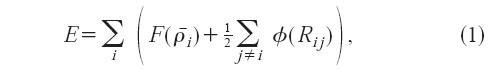
我是lammps新手。 求助 在lammps中怎么直接通原子间距算总能量(上传图片中那个能量E)。 我要求的结构是fcc的钚 用MEAM势函数,想得到钚原子间能量随距离的关系。可是对lammps程序了解很少,请给各位大神指点下。最好,说说怎么操作,急...... 要求的能量 |
» 猜你喜欢
面上项目申报
已经有3人回复
有时候真觉得大城市人没有县城人甚至个体户幸福
已经有5人回复
酰胺脱乙酰基
已经有9人回复
CSC & MSCA 博洛尼亚大学能源材料课题组博士/博士后招生|MSCA经费充足、排名优
已经有5人回复
有70后还继续奋斗在职场上的吗?
已经有6人回复
博士延得我,科研能力直往上蹿
已经有7人回复
退学或坚持读
已经有27人回复
面上基金申报没有其他的参与者成吗
已经有5人回复
遇见不省心的家人很难过
已经有22人回复
» 本主题相关价值贴推荐,对您同样有帮助:
lammps的in文件
已经有4人回复
关于lammps中的in文件运行时的错误问题查找
已经有10人回复
怎样把material studio中sio2的模型数据导入lammps中
已经有9人回复
求助,初学lammps求输入文件解疑~
已经有7人回复
请教 XP下lammps的输出问题
已经有4人回复
石墨烯 lammps
已经有11人回复
使用fix ave/spatial指令分层后,层有编号么
已经有8人回复
lammps求助:计算含有不同原子体系的热导率的in文件该怎么修改
已经有7人回复
【讨论】想学lammps是否应该先学习C++
已经有28人回复
【求助】fedora中LAMMPS编译问题
已经有4人回复
【求助】老虎大王的RDF计算程序
已经有4人回复
【讨论】lammps 用sw势计算硅的熔点怎么这么高(2400k),附in文件
已经有13人回复
【求助】关于LAMMPS 运行的问题
已经有6人回复

zyren123
木虫 (文坛精英)
- 应助: 4 (幼儿园)
- 金币: 20357.8
- 散金: 15972
- 红花: 9
- 沙发: 12
- 帖子: 26549
- 在线: 751.2小时
- 虫号: 1732071
- 注册: 2012-04-02
- 性别: GG
- 专业: 固体无机化学

2楼2013-04-27 11:46:13

3楼2013-04-29 17:20:23
qphll
金虫 (正式写手)
- 模拟EPI: 10
- 应助: 18 (小学生)
- 金币: 2708.7
- 散金: 2294
- 红花: 8
- 帖子: 554
- 在线: 227.1小时
- 虫号: 89654
- 注册: 2005-08-29
- 性别: GG
- 专业: 碳素材料与超硬材料
【答案】应助回帖
★ ★ ★ ★ ★ ★ ★ ★ ★ ★ ★ ★ ★
zh1987hs: 金币+3, 鼓励交流 2013-04-30 11:04:18
马江将: 金币+10, ★有帮助, 谢谢帮助,希望以后多交流 2013-05-02 20:41:02
zh1987hs: 金币+3, 鼓励交流 2013-04-30 11:04:18
马江将: 金币+10, ★有帮助, 谢谢帮助,希望以后多交流 2013-05-02 20:41:02
|
请仔细阅读一遍thermo_style http://lammps.sandia.gov/doc/thermo_style.html epair = pairwise energy (evdwl + ecoul + elong + etail) 是不是你需要的? |

4楼2013-04-30 09:51:09













回复此楼