版块导航
正在加载中...
客户端APP下载
论文辅导
调剂小程序
登录
注册
帖子
帖子
用户
本版
应《网络安全法》要求,自2017年10月1日起,未进行实名认证将不得使用互联网跟帖服务。为保障您的帐号能够正常使用,请尽快对帐号进行手机号验证,感谢您的理解与支持!
24小时热门版块排行榜
>
论坛更新日志
(634)
>
虫友互识
(34)
>
基金申请
(26)
>
文献求助
(14)
>
导师招生
(12)
>
硕博家园
(9)
>
考博
(7)
>
教师之家
(6)
>
论文投稿
(6)
>
博后之家
(3)
>
公派出国
(3)
>
考研
(3)
>
休闲灌水
(3)
>
留学生活
(2)
>
论文道贺祈福
(2)
>
找工作
(2)
小木虫论坛-学术科研互动平台
»
计算模拟区
»
计算模拟
»
【求助】matlab求解偏微分方程
5
1/1
返回列表
查看: 1196 | 回复: 4
只看楼主
@他人
存档
新回复提醒
(忽略)
收藏
在APP中查看
我是姚姚
新虫
(初入文坛)
应助: 0
(幼儿园)
金币: 16.5
帖子: 28
在线: 5.5小时
虫号: 2347063
注册: 2013-03-14
[交流]
【求助】matlab求解偏微分方程
已有2人参与
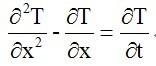
刚学matlab,求助大侠们这样的偏微分方程如何编写代码?
未命名.jpg
回复此楼
» 猜你喜欢
深圳大学2026年秋博士招生-物理学-活性胶体方向-高永祥课题组
已经有18人回复
论物质与能量的统一模型及物理现象解释
已经有0人回复
物理学I论文润色/翻译怎么收费?
已经有289人回复
基于基元I统一理论的数学相关应用推导
已经有0人回复
基元I统一理论:宇宙本质、层级演化与修炼文明的本源规律
已经有1人回复
基元I理论下三大核心空间现象精准推导与细节解析
已经有0人回复
基于基元 I 统一理论的反重力理论推导
已经有0人回复
基于基元I统一理论的量子力学本源推导
已经有1人回复
推荐一款可以AI辅助写作的Latex编辑器SmartLatexEditor,超级好用,AI润色,全免费
已经有20人回复
【EI|Scopus 双检索】第六届智能机器人系统国际会议(ISoIRS 2026)
已经有0人回复
2026年第四届电动车与车辆工程国际会议(CEVVE 2026)
已经有0人回复
高级回复
» 本主题相关价值贴推荐,对您同样有帮助:
数学物理方程求解!(带边界条件的偏微分方程)
已经有13人回复
Matlab求解二阶偏微分方程组,希望能给出相应的求解代码
已经有10人回复
请问这个4阶的非线性偏微分方程组在PDE中怎么解?等待高手解答。
已经有17人回复
comsol可直接求解高阶偏微分方程吗?
已经有3人回复
求助:如何用MATLAB的偏微分方程工具箱画出不同区域内的温度分布图?
已经有5人回复
matlab有限差分法求解复杂的偏微分方程组
已经有19人回复
Matlab求解偏微分方程组
已经有22人回复
偏微分方程数值解有基本理论和一些例子(化工类)MATLAB源程序
已经有296人回复
【求助】用pdepe求解偏微分方程
已经有10人回复
【求助】MATLAB 有限差分法(FDM)求解偏微分方程
已经有22人回复
【求助】如何求解下列偏微分方程
已经有13人回复
【求助】matlab怎么求解偏微分方程组啊,先谢谢了
已经有13人回复
【求助】用MATLAB求解偏微分方程的数值解 悬赏20
已经有8人回复
【求助】有限元法求解二阶偏微分方程组
已经有6人回复
【求助】求助用matlab解偏微分方程
已经有15人回复
【求助】用matlab编过有限差分法的请进
已经有9人回复
1楼
2013-04-11 20:13:20
已阅
回复此楼
关注TA
给TA发消息
送TA红花
TA的回帖
月只蓝
主管区长
(职业作家)
专家经验: +1059
计算强帖: 8
应助: 1712
(讲师)
贵宾: 8.888
金币: 68125.7
散金: 1938
红花: 443
沙发: 4
帖子: 4373
在线: 3291.4小时
虫号: 1122189
注册: 2010-10-14
专业: 宇宙学
管辖:
计算模拟区
★ ★ ★
小木虫: 金币+0.5, 给个红包,谢谢回帖
csgt0: 金币+2, 谢谢
2013-04-12 11:29:55
抛物型偏微分方程,还是很标准的形式,不知道边界条件复杂不。
MATLAB偏微分工具箱应该能解。
此外,完全差分法,解m×n的代数方程组即可
只对t差分,即MOL法,解常微分方程组
赞
一下
(1人)
回复此楼
MATLAB、MS小问题、普通问题请发帖求助!时间精力有限,恕不接受无偿私信求助。
2楼
2013-04-11 21:14:29
已阅
回复此楼
关注TA
给TA发消息
送TA红花
TA的回帖
我是姚姚
新虫
(初入文坛)
应助: 0
(幼儿园)
金币: 16.5
帖子: 28
在线: 5.5小时
虫号: 2347063
注册: 2013-03-14
引用回帖:
2楼
:
Originally posted by
月只蓝
at 2013-04-11 21:14:29
抛物型偏微分方程,还是很标准的形式,不知道边界条件复杂不。
MATLAB偏微分工具箱应该能解。
此外,完全差分法,解m×n的代数方程组即可
只对t差分,即MOL法,解常微分方程组
能帮忙给下代码吗?
赞
一下
回复此楼
3楼
2013-04-12 09:08:21
已阅
回复此楼
关注TA
给TA发消息
送TA红花
TA的回帖
月只蓝
主管区长
(职业作家)
专家经验: +1059
计算强帖: 8
应助: 1712
(讲师)
贵宾: 8.888
金币: 68125.7
散金: 1938
红花: 443
沙发: 4
帖子: 4373
在线: 3291.4小时
虫号: 1122189
注册: 2010-10-14
专业: 宇宙学
管辖:
计算模拟区
★ ★
小木虫: 金币+0.5, 给个红包,谢谢回帖
csgt0: 金币+1, 谢谢
2013-07-15 15:29:12
引用回帖:
3楼
:
Originally posted by
我是姚姚
at 2013-04-12 09:08:21
能帮忙给下代码吗?
...
偏微分方程最重要的部分是边界条件,没有边界条件就谈不上解方程了。
赞
一下
回复此楼
MATLAB、MS小问题、普通问题请发帖求助!时间精力有限,恕不接受无偿私信求助。
4楼
2013-04-12 09:51:22
已阅
回复此楼
关注TA
给TA发消息
送TA红花
TA的回帖
zsmj12
新虫
(初入文坛)
应助: 0
(幼儿园)
金币: 2
帖子: 4
在线: 1.5小时
虫号: 2542685
注册: 2013-07-12
★ ★
小木虫: 金币+0.5, 给个红包,谢谢回帖
csgt0: 金币+1, 谢谢
2013-07-15 15:29:17
这个方程还可以用pdepe()函数解吧,这个有例子,应该不难
赞
一下
回复此楼
5楼
2013-07-12 11:03:31
已阅
回复此楼
关注TA
给TA发消息
送TA红花
TA的回帖
相关版块跳转
第一性原理
量子化学
计算模拟
分子模拟
仿真模拟
程序语言
我要订阅楼主
我是姚姚
的主题更新
5
1/1
返回列表
如果回帖内容含有宣传信息,请如实选中。否则帐号将被全论坛禁言
普通表情
龙
兔
虎
猫
高级回复
(可上传附件)
百度网盘
|
360云盘
|
千易网盘
|
华为网盘
在新窗口页面中打开自己喜欢的网盘网站,将文件上传后,然后将下载链接复制到帖子内容中就可以了。
信息提示
关闭
请填处理意见
关闭
确定