| 查看: 1223 | 回复: 1 | ||
[求助]
隐函数积分的matlab编程求助
|
|
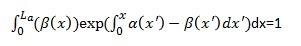
a(E,x)=exp(-6*((10^5)/(E-x)-1)); b(E,x)=exp(-((10^5)/(E-x)-1)); a,b是关于变量E和X的函数 求解:方程见附件公式:欲画出E和L的图像关系,其中E取值范围(10^5到5*10^5) 未命名.jpg |
» 猜你喜欢
哈尔滨理工大学物理系招收物理学考研调剂
已经有6人回复
0702一志愿吉大B区求调剂
已经有5人回复
物理学I论文润色/翻译怎么收费?
已经有206人回复
求调剂
已经有0人回复
0702一志愿吉大B区求调剂有论文
已经有0人回复
请问还有没有用Latex写文章的小伙伴们?
已经有0人回复
光学工程学硕调剂信息
已经有31人回复
欢迎加入课题组
已经有0人回复
散金币,求好运,祝面上顺利!
已经有65人回复
华东师范大学芯片设计徐珑真实水平咋样
已经有1人回复
调剂
已经有0人回复
» 本主题相关价值贴推荐,对您同样有帮助:
求助Matlab编写积分上限为自变量的程序
已经有3人回复
求助 matlab隐函数画图问题
已经有4人回复
求助MATLAB隐函数等
已经有7人回复
matlab 积分求助
已经有8人回复
matlab的函数调用问题
已经有3人回复
求助matlab积分的问题
已经有4人回复
求助matlab编程
已经有13人回复
求助matlab隐函数参数拟合
已经有16人回复
【求助】求助 matlab编程:可否实现清除文本文档数据
已经有5人回复
【求助】matlab求解一个简单的积分(急!!!)
已经有7人回复
【求助】matlab求解隐函数时如何设置合适的自变量步长?
已经有7人回复
【求助】用matlab编程,需要将数据自检分类(高手进来指点下)
已经有5人回复
【求助】求解隐函数
已经有6人回复
【求助】积分微分方程matlab求解
已经有6人回复
【求助】只知道有限个函数值求积分
已经有10人回复
【求助】请教一个隐函数的求导问题
已经有10人回复
【求助】修改MATLAB支持向量机核函数程序遇到的疑问?求助
已经有5人回复
2楼2013-03-13 14:40:54













回复此楼
40