±±¾©Ê¯ÓÍ»¯¹¤Ñ§Ôº2026ÄêÑо¿ÉúÕÐÉú½ÓÊÕµ÷¼Á¹«¸æ
²é¿´: 871  |  »Ø¸´: 5

ÄäÃû

Óû§×¢Ïú (ÕýʽдÊÖ)

±¾Ìû½öÂ¥Ö÷¿É¼û

» ²ÂÄãϲ»¶

» ±¾Ö÷ÌâÏà¹Ø¼ÛÖµÌùÍÆ¼ö£¬¶ÔÄúͬÑùÓаïÖú:

ÒÑÔÄ   ͬ·½Ïò¹ã²¥   ÉêÇëÎïÀíEPI   »Ø¸´´ËÂ¥   ±à¼­   ɾ³ý   ²é¿´ÎÒµÄÖ÷Ò³

leedobb

½ð³æ (ÕýʽдÊÖ)

¡ï
Сľ³æ: ½ð±Ò+0.5, ¸ø¸öºì°ü£¬Ð»Ð»»ØÌû
Õâ²»ÊÇÏÔÈ»µÄÂð£¿
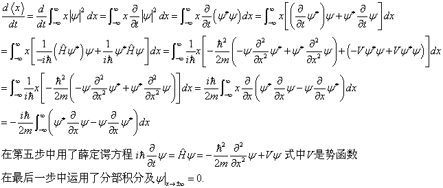
·Ö²¿»ý·Ö¹«Ê½£º int f*dg/dx dx = f*g   - int df/dx* g dx
f=x, g= (phi dphi/dx -...)
×Ô¼º¶ÔÕÕ×Å¿´°É¡£
ÓÐÒ»Ì죬ÎÒ´òÁ˸öî§Ë¯¾Íµ½ÁËÕâÀµ«ÎÒÖªµÀÎÒµôÈëÁËʱ¹âµÄÑ­»·ÖУ¬ËäµÃÒÔÓÀÉú£¬µ«Ö»ÓеÚÒ»¸öÑ­»·ÓÐÒâÒå¡£
2Â¥2013-03-08 01:21:50
ÒÑÔÄ   »Ø¸´´ËÂ¥   ¹Ø×¢TA ¸øTA·¢ÏûÏ¢ ËÍTAºì»¨ TAµÄ»ØÌû

ÄäÃû

Óû§×¢Ïú (ÕýʽдÊÖ)

±¾Ìû½öÂ¥Ö÷¿É¼û
3Â¥2013-03-08 12:37:35
ÒÑÔÄ   ÉêÇëÎïÀíEPI   »Ø¸´´ËÂ¥   ±à¼­   ²é¿´ÎÒµÄÖ÷Ò³

ÄäÃû

Óû§×¢Ïú (ÕýʽдÊÖ)

±¾Ìû½öÂ¥Ö÷¿É¼û
4Â¥2013-03-08 12:37:42
ÒÑÔÄ   ÉêÇëÎïÀíEPI   »Ø¸´´ËÂ¥   ±à¼­   ²é¿´ÎÒµÄÖ÷Ò³

ÄäÃû

Óû§×¢Ïú (Ö°Òµ×÷¼Ò)


¡ï
Сľ³æ: ½ð±Ò+0.5, ¸ø¸öºì°ü£¬Ð»Ð»»ØÌû
±¾Ìû½öÂ¥Ö÷¿É¼û
5Â¥2013-03-09 10:13:10
ÒÑÔÄ   ÉêÇëÎïÀíEPI   »Ø¸´´ËÂ¥   ±à¼­   ²é¿´ÎÒµÄÖ÷Ò³

cosmology

½ð³æ (ÕýʽдÊÖ)

¡ï ¡ï ¡ï ¡ï ¡ï ¡ï ¡ï ¡ï ¡ï ¡ï ¡ï ¡ï ¡ï ¡ï ¡ï ¡ï ¡ï ¡ï ¡ï ¡ï ¡ï
Сľ³æ: ½ð±Ò+0.5, ¸ø¸öºì°ü£¬Ð»Ð»»ØÌû
leongoall: ½ð±Ò+20, Ö¸³öÉÏÃæ³æÓѵĴíÎóÖ®´¦£¬µ«¼øÓÚ´ËÎÊÌâ´¿´âµÄÊýѧ±ä»»£¬Òò´ËÖØ½ð½±Àø£¬µ«EPI²»Ó迼ÂÇ£¬Ï£ÍûÔÙ½ÓÔÙÀ÷£¡ 2013-03-16 03:04:49
½â´ðÈçÏÂ

Solution.gif

6Â¥2013-03-15 10:24:35
ÒÑÔÄ   »Ø¸´´ËÂ¥   ¹Ø×¢TA ¸øTA·¢ÏûÏ¢ ËÍTAºì»¨ TAµÄ»ØÌû
Ïà¹Ø°æ¿éÌø×ª ÎÒÒª¶©ÔÄÂ¥Ö÷ ¶ÀÏйÂÔÆ µÄÖ÷Ìâ¸üÐÂ
×î¾ßÈËÆøÈÈÌûÍÆ¼ö [²é¿´È«²¿] ×÷Õß »Ø/¿´ ×îºó·¢±í
[¿¼ÑÐ] Çóµ÷¼Á +7 ÕÅ.1 2026-04-05 7/350 2026-04-05 20:40 by à£à£à£0119
[¿¼ÑÐ] 288Çóµ÷¼Á +7 ûÓдð°¸_ 2026-04-05 7/350 2026-04-05 17:01 by yulian1987
[¿¼ÑÐ] 0703×Ü·Ö331Çóµ÷¼Á +10 ZY-05 2026-04-04 13/650 2026-04-05 11:03 by xiayan13521
[Óлú½»Á÷] ¼×´¼/¶þÂÈ 1:15¹ýÖù×Ó 5+3 a°¥yßÏwι 2026-03-31 3/150 2026-04-05 10:42 by 88817753
[¿¼ÑÐ] Ò»Ö¾Ô¸½­ÄÏ´óѧ085501»úе¹¤³Ìר˶326·Ö£¬±¾¿Æ¼Ñľ˹´óѧ +5 ¹ËÈô¸¡Éú 2026-04-03 9/450 2026-04-05 09:57 by 1753564080
[¿¼ÑÐ] ²ÄÁϵ÷¼Á +15 Ò»ÑùYWY 2026-04-01 15/750 2026-04-04 22:23 by hemengdong
[¿¼ÑÐ] 22408Çóµ÷¼Á 354·Ö ¿É¿çרҵ +3 hannnnnnn 2026-04-04 3/150 2026-04-04 14:35 by ÍÁľ˶ʿÕÐÉú
[¿¼ÑÐ] Ò»Ö¾Ô¸C9µÄ»¯Ñ§¹¤³Ì£¨085602£© 340·Ö£¬¸Ð¾õУÄÚµ÷¼ÁÎÞÍû£¬Çóµ÷¼Á +9 ÍòÊÂÒËÕé 2026-04-04 9/450 2026-04-04 11:49 by à£à£à£0119
[¿¼ÑÐ] 278Çóµ÷¼Á +6 Yy7400 2026-04-03 6/300 2026-04-04 09:53 by zhangdingwa
[¿¼ÑÐ] ²ÄÁÏ¿ÆÑ§Ó빤³Ì¿¼ÑÐ +10 Õü¾ÈÆ¤ÌØÍÐÏÈÉú 2026-04-02 10/500 2026-04-03 23:57 by userper
[¿¼ÑÐ] 11408£¬284·Ö£¬¶þÕ½Õæ³ÏÇóµ÷¼Á +4 12.27 2026-04-02 4/200 2026-04-03 14:14 by dxiaoxin
[¿¼ÑÐ] 320Çóµ÷¼Á +3 ũҵ¹¤³ÌÓëÐÅÏ¢¼ 2026-04-03 3/150 2026-04-03 11:40 by ÍÁľ˶ʿÕÐÉú
[¿¼ÑÐ] 08¹¤¿Æ275·ÖÇóµ÷¼Á +14 AaAa7420 2026-03-31 14/700 2026-04-03 11:13 by cocolv
[¿¼ÑÐ] µ÷¼Á +7 ìíáº. 2026-04-02 7/350 2026-04-03 09:11 by »¨ß»¹Ç·600
[¿¼ÑÐ] ÉúÎïѧ308·ÖÇóµ÷¼Á£¨Ò»Ö¾Ô¸»ª¶«Ê¦´ó£© +6 ÏàÐűػá¹ââÍòÕ 2026-03-31 7/350 2026-04-02 23:16 by JourneyLucky
[¿¼ÑÐ] Ò»Ö¾Ô¸Ö£´ó²ÄÁϹ¤³Ì290Çóµ÷¼Á +20 Youth_ 2026-03-30 20/1000 2026-04-02 14:48 by 5896
[¿¼ÑÐ] 298ÇóBÇøµ÷¼Á +4 zzz£¬£¬r 2026-04-02 5/250 2026-04-02 12:17 by ÍÁľ˶ʿÕÐÉú
[¿¼ÑÐ] °²È«¹¤³Ì 285 Çóµ÷¼Á +3 Xinyu56 2026-04-01 4/200 2026-04-01 21:50 by ¾²¾²¾²¾²¾²¾²¾²¾
[¿¼ÑÐ] ¿¼ÑвÄÁϹ¤³Ì351·Öµ÷¼Á +5 Õû¸öºÃµÄ 2026-03-31 5/250 2026-04-01 09:36 by topgun2009
[¿¼ÑÐ] ¸´ÊÔµ÷¼Á +7 Ë«ÂíβƦÀϰå2 2026-03-31 7/350 2026-03-31 19:49 by Dyhoer
ÐÅÏ¢Ìáʾ
ÇëÌî´¦ÀíÒâ¼û